Form SHP-716B Missouri Endangered Person Advisory - Missouri

Form SHP-716B Missouri Endangered Person Advisory - Missouri

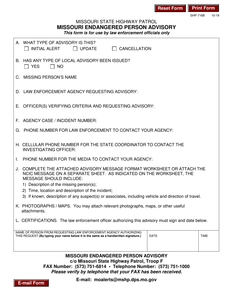
What Is Form SHP-716B?

This is a legal form that was released by the Missouri State Highway Patrol - a government authority operating within Missouri. As of today, no separate filing guidelines for the form are provided by the issuing department.

FAQ

Q: What is SHP-716B?
A: SHP-716B is a form used for the Missouri Endangered Person Advisory.

Q: What is the Missouri Endangered Person Advisory?
A: The Missouri Endangered Person Advisory is an alert system used to notify the public about missing individuals who are considered endangered.

Q: Who uses the SHP-716B form?
A: Law enforcement agencies in Missouri use the SHP-716B form to initiate the Endangered Person Advisory.

Q: What information is included in the SHP-716B form?
A: The SHP-716B form includes details about the missing individual, such as their name, physical description, and circumstances surrounding their disappearance.

Q: How is the Missouri Endangered Person Advisory different from an Amber Alert?
A: The Missouri Endangered Person Advisory is used for cases where there is no clear evidence of abduction, whereas an Amber Alert is specifically used for cases of child abduction.

Q: How can the public help in a case involving the Missouri Endangered Person Advisory?
A: The public can help by being aware of the advisory, sharing information, and reporting any relevant tips or sightings to the appropriate law enforcement agency.

Q: Is there a specific criteria for issuing a Missouri Endangered Person Advisory?
A: Yes, there are specific criteria that must be met, such as the individual being in credible threat of serious physical injury or death, and the law enforcement agency having enough descriptive information to assist in the recovery.

Q: Are there any limitations to the Missouri Endangered Person Advisory?
A: Yes, the advisory is limited to cases where law enforcement believes the public's assistance is necessary, and it is always at the discretion of the law enforcement agency to issue the advisory.

Q: Is the Missouri Endangered Person Advisory only applicable in Missouri?
A: Yes, the Missouri Endangered Person Advisory is specific to the state of Missouri and its law enforcement agencies.

ADVERTISEMENT

Form Details:

  • Released on October 1, 2019;
  • The latest edition provided by the Missouri State Highway Patrol;
  • Easy to use and ready to print;
  • Quick to customize;
  • Compatible with most PDF-viewing applications;
  • Fill out the form in our online filing application.

Download a fillable version of Form SHP-716B by clicking the link below or browse more documents and templates provided by the Missouri State Highway Patrol.

Download Form SHP-716B Missouri Endangered Person Advisory - Missouri

4.7 of 5 (11 votes)
  • Form SHP-716B Missouri Endangered Person Advisory - Missouri

    1

  • Form SHP-716B Missouri Endangered Person Advisory - Missouri, Page 2

    2

  • Form SHP-716B Missouri Endangered Person Advisory - Missouri, Page 3

    3

  • Form SHP-716B Missouri Endangered Person Advisory - Missouri, Page 1
  • Form SHP-716B Missouri Endangered Person Advisory - Missouri, Page 2
  • Form SHP-716B Missouri Endangered Person Advisory - Missouri, Page 3
Prev 1 2 3 Next
ADVERTISEMENT