DCYF Form 18-400 Foster Parent Reimbursement Claim - Washington

Notification Icon This version of the form is not currently in use and is provided for reference only. Download this version of DCYF Form 18-400 for the current year.

DCYF Form 18-400 Foster Parent Reimbursement Claim - Washington

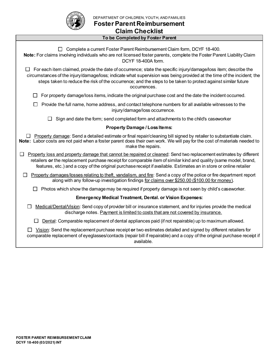
What Is DCYF Form 18-400?

This is a legal form that was released by the Washington State Department of Children, Youth, and Families - a government authority operating within Washington. As of today, no separate filing guidelines for the form are provided by the issuing department.

FAQ

Q: What is DCYF Form 18-400?
A: DCYF Form 18-400 is a Foster Parent Reimbursement Claim form used in Washington.

Q: Who can use DCYF Form 18-400?
A: Foster parents in Washington can use DCYF Form 18-400.

Q: What is the purpose of DCYF Form 18-400?
A: The purpose of DCYF Form 18-400 is to claim reimbursement for expenses incurred by foster parents.

Q: What expenses can be claimed using DCYF Form 18-400?
A: Expenses such as clothing, food, transportation, and other necessities for foster children can be claimed using DCYF Form 18-400.

Q: How often can foster parents submit DCYF Form 18-400?
A: Foster parents can submit DCYF Form 18-400 on a monthly basis.

Q: Is there a deadline for submitting DCYF Form 18-400?
A: Yes, there is a deadline for submitting DCYF Form 18-400. Foster parents should submit the form within 30 days of the end of the month for which reimbursement is being claimed.

ADVERTISEMENT

Form Details:

  • Released on March 1, 2021;
  • The latest edition provided by the Washington State Department of Children, Youth, and Families;
  • Easy to use and ready to print;
  • Available in Spanish;
  • Quick to customize;
  • Compatible with most PDF-viewing applications;
  • Fill out the form in our online filing application.

Download a fillable version of DCYF Form 18-400 by clicking the link below or browse more documents and templates provided by the Washington State Department of Children, Youth, and Families.

Download DCYF Form 18-400 Foster Parent Reimbursement Claim - Washington

4.5 of 5 (11 votes)
  • DCYF Form 18-400 Foster Parent Reimbursement Claim - Washington

    1

  • DCYF Form 18-400 Foster Parent Reimbursement Claim - Washington, Page 2

    2

  • DCYF Form 18-400 Foster Parent Reimbursement Claim - Washington, Page 3

    3

  • DCYF Form 18-400 Foster Parent Reimbursement Claim - Washington, Page 1
  • DCYF Form 18-400 Foster Parent Reimbursement Claim - Washington, Page 2
  • DCYF Form 18-400 Foster Parent Reimbursement Claim - Washington, Page 3
Prev 1 2 3 Next
ADVERTISEMENT