Annual Bank Franchise Tax Report - Arkansas

Annual Bank Franchise Tax Report - Arkansas

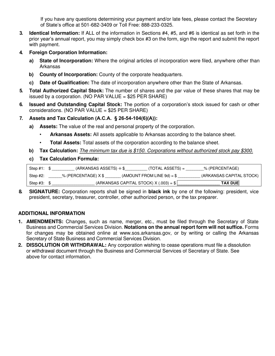
Annual Bank Franchise Tax Report is a legal document that was released by the Arkansas Secretary of State - a government authority operating within Arkansas.

FAQ

Q: What is the Annual Bank Franchise Tax Report?
A: The Annual Bank Franchise Tax Report is a reporting requirement for banks in Arkansas.

Q: Who needs to file the Annual Bank Franchise Tax Report?
A: Banks operating in Arkansas are required to file the Annual Bank Franchise Tax Report.

Q: When is the deadline for filing the Annual Bank Franchise Tax Report?
A: The deadline for filing the Annual Bank Franchise Tax Report in Arkansas is generally April 15th of each year.

Q: What information is required on the Annual Bank Franchise Tax Report?
A: The Annual Bank Franchise Tax Report requires banks to provide information on their net worth and total assets in Arkansas.

Q: Are there any penalties for late filing of the Annual Bank Franchise Tax Report?
A: Yes, there are penalties for late filing of the Annual Bank Franchise Tax Report. The exact penalty amount may vary based on the specific circumstances.

ADVERTISEMENT

Form Details:

  • Released on February 1, 2021;
  • The latest edition currently provided by the Arkansas Secretary of State;
  • Ready to use and print;
  • Easy to customize;
  • Compatible with most PDF-viewing applications;
  • Fill out the form in our online filing application.

Download a fillable version of the form by clicking the link below or browse more documents and templates provided by the Arkansas Secretary of State.

Download Annual Bank Franchise Tax Report - Arkansas

4.7 of 5 (21 votes)
  • Annual Bank Franchise Tax Report - Arkansas

    1

  • Annual Bank Franchise Tax Report - Arkansas, Page 2

    2

  • Annual Bank Franchise Tax Report - Arkansas, Page 3

    3

  • Annual Bank Franchise Tax Report - Arkansas, Page 1
  • Annual Bank Franchise Tax Report - Arkansas, Page 2
  • Annual Bank Franchise Tax Report - Arkansas, Page 3
Prev 1 2 3 Next
ADVERTISEMENT