Form SFN58476 Application for Hemp Grower License - North Dakota

Notification Icon This version of the form is not currently in use and is provided for reference only. Download this version of Form SFN58476 for the current year.

Form SFN58476 Application for Hemp Grower License - North Dakota

What Is Form SFN58476?

This is a legal form that was released by the North Dakota Department of Agriculture - a government authority operating within North Dakota. As of today, no separate filing guidelines for the form are provided by the issuing department.

FAQ

Q: What is Form SFN58476?
A: Form SFN58476 is the application for a Hemp Grower License in North Dakota.

Q: Who needs to fill out Form SFN58476?
A: Anyone who wants to become a hemp grower in North Dakota needs to fill out Form SFN58476.

Q: What information is required on Form SFN58476?
A: Form SFN58476 requires information such as the applicant's name, contact information, and details about the proposed hemp growing operation.

Q: Are there any fees associated with Form SFN58476?
A: Yes, there is a non-refundable application fee for Form SFN58476. The fee amount can be found on the application form.

ADVERTISEMENT

Form Details:

  • Released on December 1, 2020;
  • The latest edition provided by the North Dakota Department of Agriculture;
  • Easy to use and ready to print;
  • Quick to customize;
  • Compatible with most PDF-viewing applications;
  • Fill out the form in our online filing application.

Download a fillable version of Form SFN58476 by clicking the link below or browse more documents and templates provided by the North Dakota Department of Agriculture.

Download Form SFN58476 Application for Hemp Grower License - North Dakota

4.3 of 5 (21 votes)
  • Form SFN58476 Application for Hemp Grower License - North Dakota

    1

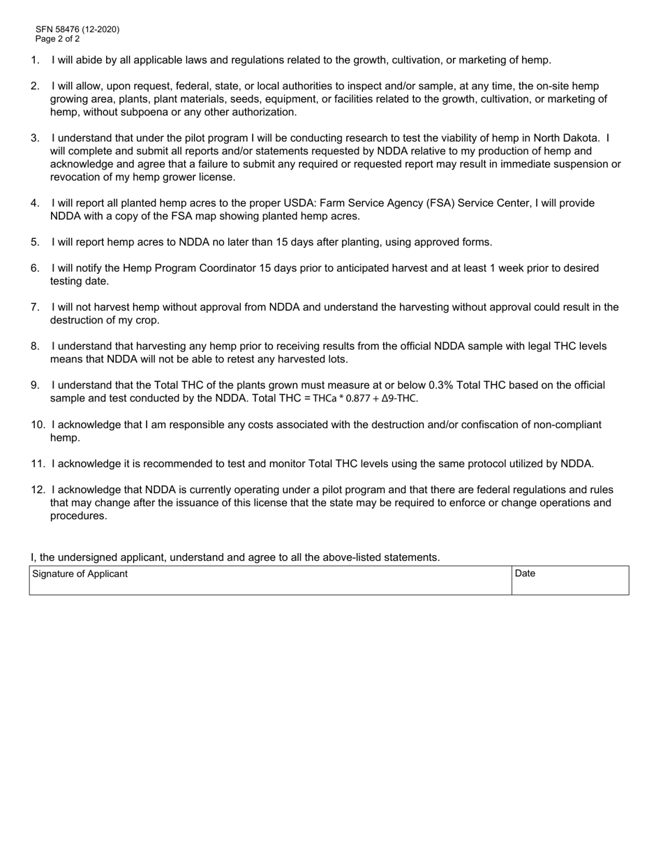
  • Form SFN58476 Application for Hemp Grower License - North Dakota, Page 2

    2

  • Form SFN58476 Application for Hemp Grower License - North Dakota, Page 1
  • Form SFN58476 Application for Hemp Grower License - North Dakota, Page 2
Prev 1 2 Next
ADVERTISEMENT

Related Documents