Motion Pursuant to 28 U.s.c. 2255 to Vacate, Set Aside or Correct Sentence by a Person in Federal Custody - Nevada

Motion Pursuant to 28 U.s.c. 2255 to Vacate, Set Aside or Correct Sentence by a Person in Federal Custody - Nevada

Motion Pursuant to 28 U.s.c. 2255 to Vacate, Correct Sentence by a Person in Federal Custody is a legal document that was released by the United States District Court for the District of Nevada - a government authority operating within Nevada.

FAQ

Q: What is a motion pursuant to 28 U.S.C. 2255?
A: A motion pursuant to 28 U.S.C. 2255 is a legal request made by a person in federal custody to vacate, set aside or correct their sentence.

Q: What does it mean to vacate or set aside a sentence?
A: Vacating or setting aside a sentence means that the court declares it invalid or no longer in effect.

Q: Who can file a motion pursuant to 28 U.S.C. 2255?
A: A person in federal custody can file a motion pursuant to 28 U.S.C. 2255.

Q: What is the purpose of a motion pursuant to 28 U.S.C. 2255?
A: The purpose of a motion pursuant to 28 U.S.C. 2255 is to challenge the legality of the sentence imposed on the person in federal custody.

Q: What is the process for filing a motion pursuant to 28 U.S.C. 2255?
A: The process for filing a motion pursuant to 28 U.S.C. 2255 involves preparing the motion, filing it with the court, and serving a copy to the government.

Q: Can a person in federal custody represent themselves in filing a motion pursuant to 28 U.S.C. 2255?
A: Yes, a person in federal custody can choose to represent themselves in filing a motion pursuant to 28 U.S.C. 2255, but it is recommended to seek legal assistance.

Q: What relief can be sought through a motion pursuant to 28 U.S.C. 2255?
A: Through a motion pursuant to 28 U.S.C. 2255, a person in federal custody can seek various forms of relief, including a new trial, a resentencing, or release from custody.

Q: Is there a time limit for filing a motion pursuant to 28 U.S.C. 2255?
A: Yes, there is a one-year time limit for filing a motion pursuant to 28 U.S.C. 2255, starting from the date when the judgment of conviction becomes final.

Q: Can a motion pursuant to 28 U.S.C. 2255 be appealed?
A: Yes, if the district court denies the motion, a person in federal custody can appeal the decision to the appropriate higher court.

ADVERTISEMENT

Form Details:

  • Released on June 1, 2017;
  • The latest edition currently provided by the United States District Court for the District of Nevada;
  • Ready to use and print;
  • Easy to customize;
  • Compatible with most PDF-viewing applications;
  • Fill out the form in our online filing application.

Download a printable version of the form by clicking the link below or browse more documents and templates provided by the United States District Court for the District of Nevada.

Download Motion Pursuant to 28 U.s.c. 2255 to Vacate, Set Aside or Correct Sentence by a Person in Federal Custody - Nevada

4.7 of 5 (16 votes)
  • Motion Pursuant to 28 U.s.c. 2255 to Vacate, Set Aside or Correct Sentence by a Person in Federal Custody - Nevada

    1

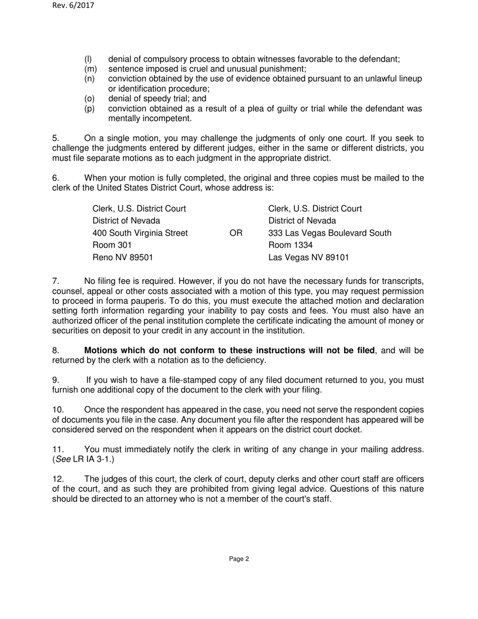
  • Motion Pursuant to 28 U.s.c. 2255 to Vacate, Set Aside or Correct Sentence by a Person in Federal Custody - Nevada, Page 2

    2

  • Motion Pursuant to 28 U.s.c. 2255 to Vacate, Set Aside or Correct Sentence by a Person in Federal Custody - Nevada, Page 3

    3

  • Motion Pursuant to 28 U.s.c. 2255 to Vacate, Set Aside or Correct Sentence by a Person in Federal Custody - Nevada, Page 4

    4

  • Motion Pursuant to 28 U.s.c. 2255 to Vacate, Set Aside or Correct Sentence by a Person in Federal Custody - Nevada, Page 5

    5

  • Motion Pursuant to 28 U.s.c. 2255 to Vacate, Set Aside or Correct Sentence by a Person in Federal Custody - Nevada, Page 6

    6

  • Motion Pursuant to 28 U.s.c. 2255 to Vacate, Set Aside or Correct Sentence by a Person in Federal Custody - Nevada, Page 7

    7

  • Motion Pursuant to 28 U.s.c. 2255 to Vacate, Set Aside or Correct Sentence by a Person in Federal Custody - Nevada, Page 8

    8

  • Motion Pursuant to 28 U.s.c. 2255 to Vacate, Set Aside or Correct Sentence by a Person in Federal Custody - Nevada, Page 9

    9

  • Motion Pursuant to 28 U.s.c. 2255 to Vacate, Set Aside or Correct Sentence by a Person in Federal Custody - Nevada, Page 10

    10

  • Motion Pursuant to 28 U.s.c. 2255 to Vacate, Set Aside or Correct Sentence by a Person in Federal Custody - Nevada, Page 11

    11

  • Motion Pursuant to 28 U.s.c. 2255 to Vacate, Set Aside or Correct Sentence by a Person in Federal Custody - Nevada, Page 1
  • Motion Pursuant to 28 U.s.c. 2255 to Vacate, Set Aside or Correct Sentence by a Person in Federal Custody - Nevada, Page 2
  • Motion Pursuant to 28 U.s.c. 2255 to Vacate, Set Aside or Correct Sentence by a Person in Federal Custody - Nevada, Page 3
  • Motion Pursuant to 28 U.s.c. 2255 to Vacate, Set Aside or Correct Sentence by a Person in Federal Custody - Nevada, Page 4
  • Motion Pursuant to 28 U.s.c. 2255 to Vacate, Set Aside or Correct Sentence by a Person in Federal Custody - Nevada, Page 5
  • Motion Pursuant to 28 U.s.c. 2255 to Vacate, Set Aside or Correct Sentence by a Person in Federal Custody - Nevada, Page 6
  • Motion Pursuant to 28 U.s.c. 2255 to Vacate, Set Aside or Correct Sentence by a Person in Federal Custody - Nevada, Page 7
  • Motion Pursuant to 28 U.s.c. 2255 to Vacate, Set Aside or Correct Sentence by a Person in Federal Custody - Nevada, Page 8
  • Motion Pursuant to 28 U.s.c. 2255 to Vacate, Set Aside or Correct Sentence by a Person in Federal Custody - Nevada, Page 9
  • Motion Pursuant to 28 U.s.c. 2255 to Vacate, Set Aside or Correct Sentence by a Person in Federal Custody - Nevada, Page 10
  • Motion Pursuant to 28 U.s.c. 2255 to Vacate, Set Aside or Correct Sentence by a Person in Federal Custody - Nevada, Page 11
Prev 1 2 3 4 5 ... 11 Next
ADVERTISEMENT