Form MDT-ENV-003 Initial Site Assessment for Hazardous Materials / Substances, Traffic Noise, & Air Quality - Montana

Form MDT-ENV-003 Initial Site Assessment for Hazardous Materials / Substances, Traffic Noise, & Air Quality - Montana

What Is Form MDT-ENV-003?

This is a legal form that was released by the Montana Department of Transportation - a government authority operating within Montana. As of today, no separate filing guidelines for the form are provided by the issuing department.

FAQ

Q: What is MDT-ENV-003?
A: MDT-ENV-003 is a form for conducting an initial site assessment in Montana.

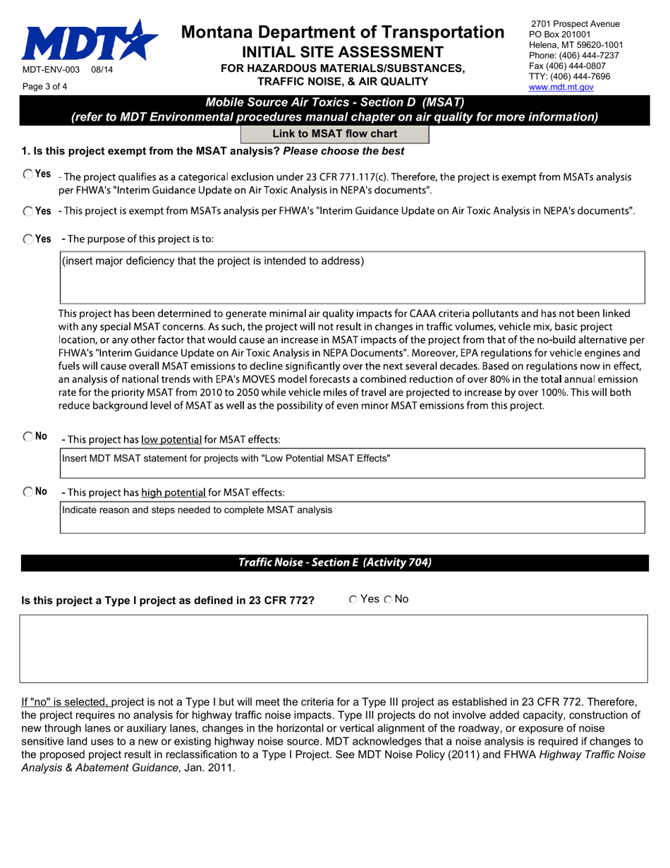
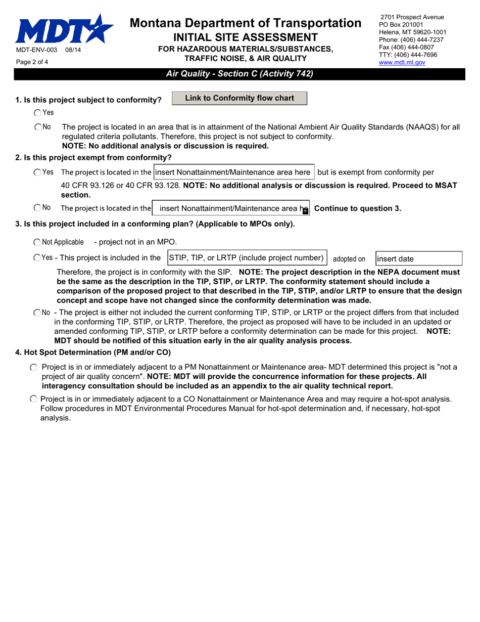
Q: What does the form assess?
A: The form assesses hazardous materials/substances, traffic noise, and air quality.

Q: What is the purpose of the form?
A: The purpose of the form is to evaluate and document potential environmental hazards.

Q: Who uses the form?
A: The form is used by individuals or organizations responsible for assessing site conditions.

Q: What information does the form require?
A: The form requires information about hazardous materials, substances, traffic noise, and air quality at a given site.

Q: Is the form specific to Montana?
A: Yes, the form is specifically designed for use in Montana.

Q: Is the form legally binding?
A: No, the form is not legally binding but serves as a documentation tool.

ADVERTISEMENT

Form Details:

  • Released on August 1, 2014;
  • The latest edition provided by the Montana Department of Transportation;
  • Easy to use and ready to print;
  • Quick to customize;
  • Compatible with most PDF-viewing applications;
  • Fill out the form in our online filing application.

Download a fillable version of Form MDT-ENV-003 by clicking the link below or browse more documents and templates provided by the Montana Department of Transportation.

Download Form MDT-ENV-003 Initial Site Assessment for Hazardous Materials / Substances, Traffic Noise, & Air Quality - Montana

4.6 of 5 (26 votes)
  • Form MDT-ENV-003 Initial Site Assessment for Hazardous Materials/Substances, Traffic Noise, & Air Quality - Montana

    1

  • Form MDT-ENV-003 Initial Site Assessment for Hazardous Materials/Substances, Traffic Noise, & Air Quality - Montana, Page 2

    2

  • Form MDT-ENV-003 Initial Site Assessment for Hazardous Materials/Substances, Traffic Noise, & Air Quality - Montana, Page 3

    3

  • Form MDT-ENV-003 Initial Site Assessment for Hazardous Materials/Substances, Traffic Noise, & Air Quality - Montana, Page 4

    4

  • Form MDT-ENV-003 Initial Site Assessment for Hazardous Materials / Substances, Traffic Noise,  Air Quality - Montana, Page 1
  • Form MDT-ENV-003 Initial Site Assessment for Hazardous Materials / Substances, Traffic Noise,  Air Quality - Montana, Page 2
  • Form MDT-ENV-003 Initial Site Assessment for Hazardous Materials / Substances, Traffic Noise,  Air Quality - Montana, Page 3
  • Form MDT-ENV-003 Initial Site Assessment for Hazardous Materials / Substances, Traffic Noise,  Air Quality - Montana, Page 4
Prev 1 2 3 4 Next
ADVERTISEMENT