DNR Form 5678-4407B Re-enrolled Water Use Contract - Nebraska

DNR Form 5678-4407B Re-enrolled Water Use Contract - Nebraska

What Is DNR Form 5678-4407B?

This is a legal form that was released by the Nebraska Department of Natural Resources - a government authority operating within Nebraska. As of today, no separate filing guidelines for the form are provided by the issuing department.

FAQ

Q: What is DNR Form 5678-4407B?
A: DNR Form 5678-4407B is a re-enrolled water use contract form in Nebraska.

Q: What is the purpose of DNR Form 5678-4407B?
A: The purpose of DNR Form 5678-4407B is to re-enroll a water use contract in Nebraska.

Q: Who needs to use DNR Form 5678-4407B?
A: Anyone who wants to re-enroll a water use contract in Nebraska needs to use DNR Form 5678-4407B.

Q: Are there any fees associated with DNR Form 5678-4407B?
A: The fees associated with DNR Form 5678-4407B may vary. Please consult the Nebraska Department of Natural Resources (DNR) for more information.

Q: Is DNR Form 5678-4407B specific to Nebraska?
A: Yes, DNR Form 5678-4407B is specific to re-enrolling water use contracts in Nebraska.

ADVERTISEMENT

Form Details:

  • Released on July 19, 2019;
  • The latest edition provided by the Nebraska Department of Natural Resources;
  • Easy to use and ready to print;
  • Quick to customize;
  • Compatible with most PDF-viewing applications;
  • Fill out the form in our online filing application.

Download a printable version of DNR Form 5678-4407B by clicking the link below or browse more documents and templates provided by the Nebraska Department of Natural Resources.

Download DNR Form 5678-4407B Re-enrolled Water Use Contract - Nebraska

4.3 of 5 (13 votes)
  • DNR Form 5678-4407B Re-enrolled Water Use Contract - Nebraska

    1

  • DNR Form 5678-4407B Re-enrolled Water Use Contract - Nebraska, Page 2

    2

  • DNR Form 5678-4407B Re-enrolled Water Use Contract - Nebraska, Page 3

    3

  • DNR Form 5678-4407B Re-enrolled Water Use Contract - Nebraska, Page 4

    4

  • DNR Form 5678-4407B Re-enrolled Water Use Contract - Nebraska, Page 5

    5

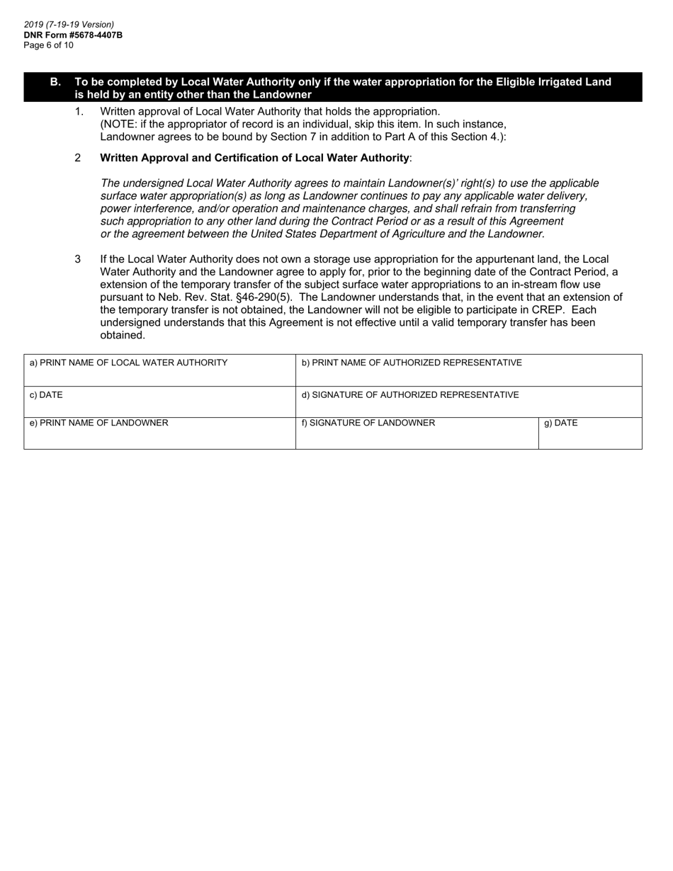
  • DNR Form 5678-4407B Re-enrolled Water Use Contract - Nebraska, Page 6

    6

  • DNR Form 5678-4407B Re-enrolled Water Use Contract - Nebraska, Page 7

    7

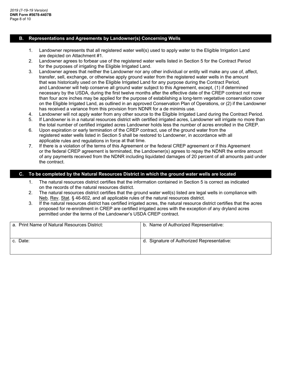
  • DNR Form 5678-4407B Re-enrolled Water Use Contract - Nebraska, Page 8

    8

  • DNR Form 5678-4407B Re-enrolled Water Use Contract - Nebraska, Page 9

    9

  • DNR Form 5678-4407B Re-enrolled Water Use Contract - Nebraska, Page 10

    10

  • DNR Form 5678-4407B Re-enrolled Water Use Contract - Nebraska, Page 1
  • DNR Form 5678-4407B Re-enrolled Water Use Contract - Nebraska, Page 2
  • DNR Form 5678-4407B Re-enrolled Water Use Contract - Nebraska, Page 3
  • DNR Form 5678-4407B Re-enrolled Water Use Contract - Nebraska, Page 4
  • DNR Form 5678-4407B Re-enrolled Water Use Contract - Nebraska, Page 5
  • DNR Form 5678-4407B Re-enrolled Water Use Contract - Nebraska, Page 6
  • DNR Form 5678-4407B Re-enrolled Water Use Contract - Nebraska, Page 7
  • DNR Form 5678-4407B Re-enrolled Water Use Contract - Nebraska, Page 8
  • DNR Form 5678-4407B Re-enrolled Water Use Contract - Nebraska, Page 9
  • DNR Form 5678-4407B Re-enrolled Water Use Contract - Nebraska, Page 10
Prev 1 2 3 4 5 ... 10 Next
ADVERTISEMENT

Related Documents