Form FB101 Annex E Supervisory Policy G 7 - New York

Form FB101 Annex E Supervisory Policy G 7 - New York

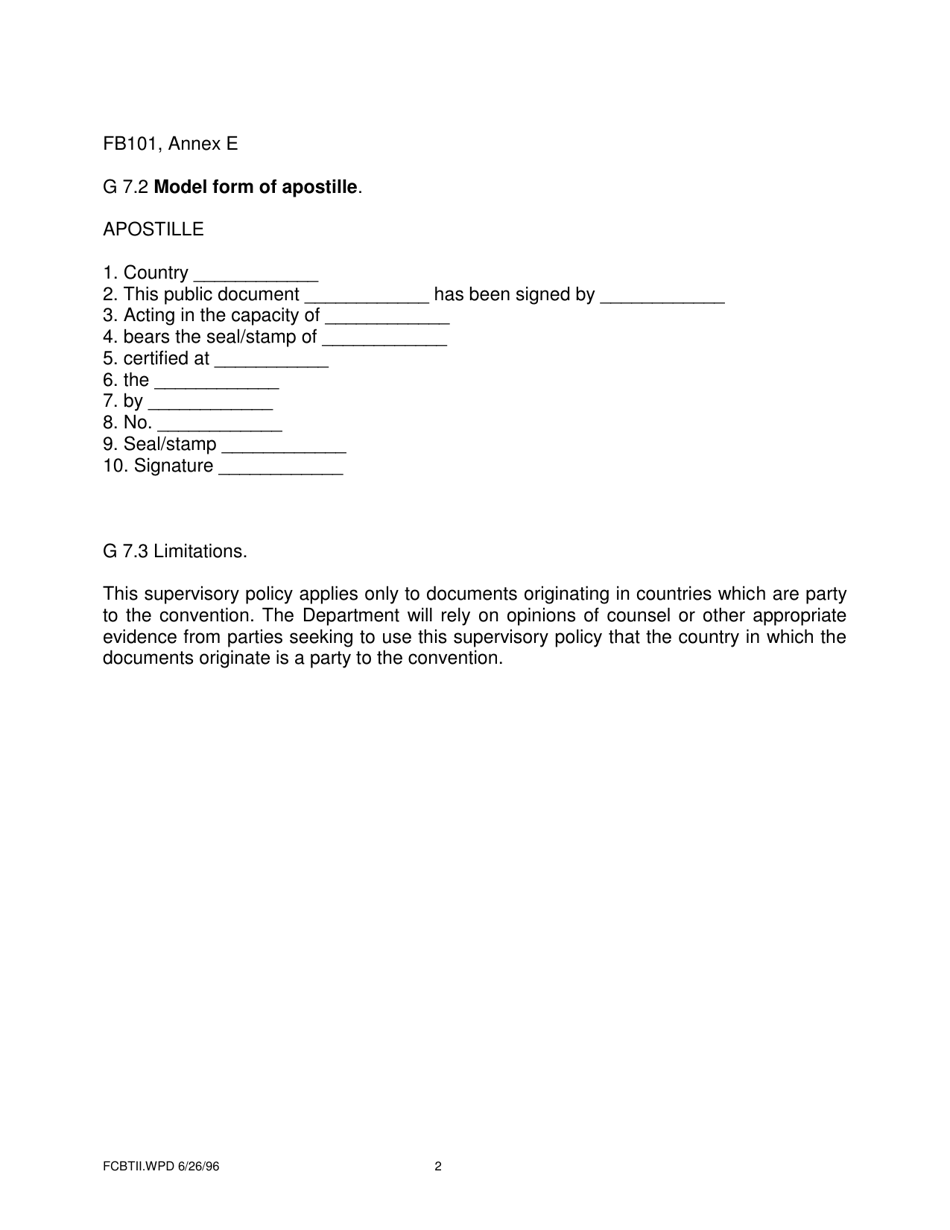
What Is Form FB101 Annex E?

This is a legal form that was released by the New York State Department of Financial Services - a government authority operating within New York. As of today, no separate filing guidelines for the form are provided by the issuing department.

FAQ

Q: What is Form FB101 Annex E?
A: Form FB101 Annex E is a document used for reporting financial information in New York.

Q: What is Supervisory Policy G 7?
A: Supervisory Policy G 7 is a set of guidelines and regulations for financial institutions in New York.

Q: What does Form FB101 Annex E cover?
A: Form FB101 Annex E covers the reporting of financial information.

Q: What is the purpose of Supervisory Policy G 7?
A: The purpose of Supervisory Policy G 7 is to provide guidelines and regulations for financial institutions in New York.

Q: Who needs to use Form FB101 Annex E?
A: Financial institutions in New York need to use Form FB101 Annex E for reporting financial information.

Q: Are there any penalties for non-compliance with Supervisory Policy G 7?
A: Yes, financial institutions may face penalties for non-compliance with Supervisory Policy G 7.

Q: Is Form FB101 Annex E applicable in Canada?
A: No, Form FB101 Annex E is specific to financial institutions in New York.

Q: Is Supervisory Policy G 7 applicable in Canada?
A: No, Supervisory Policy G 7 is specific to financial institutions in New York.

ADVERTISEMENT

Form Details:

  • Released on June 26, 1996;
  • The latest edition provided by the New York State Department of Financial Services;
  • Easy to use and ready to print;
  • Quick to customize;
  • Compatible with most PDF-viewing applications;
  • Fill out the form in our online filing application.

Download a printable version of Form FB101 Annex E by clicking the link below or browse more documents and templates provided by the New York State Department of Financial Services.

Download Form FB101 Annex E Supervisory Policy G 7 - New York

4.5 of 5 (19 votes)
  • Form FB101 Annex E Supervisory Policy G 7 - New York

    1

  • Form FB101 Annex E Supervisory Policy G 7 - New York, Page 2

    2

  • Form FB101 Annex E Supervisory Policy G 7 - New York, Page 1
  • Form FB101 Annex E Supervisory Policy G 7 - New York, Page 2
Prev 1 2 Next
ADVERTISEMENT