Instructions for Form CT-3-A General Business Corporation Combined Franchise Tax Return - New York

Notification Icon This version of the form is not currently in use and is provided for reference only. Download this version of Instructions for Form CT-3-A for the current year.

Instructions for Form CT-3-A General Business Corporation Combined Franchise Tax Return - New York

This document contains official instructions for Form CT-3-A , General Business Corporation Combined Franchise Tax Return - a form released and collected by the New York State Department of Taxation and Finance. An up-to-date fillable Form CT-3-A is available for download through this link.

FAQ

Q: What is Form CT-3-A?
A: Form CT-3-A is a tax return form for general business corporations in New York.

Q: Who needs to file Form CT-3-A?
A: General business corporations in New York need to file Form CT-3-A.

Q: What is the purpose of Form CT-3-A?
A: The purpose of Form CT-3-A is to report and pay franchise taxes for general business corporations in New York.

Q: When is Form CT-3-A due?
A: Form CT-3-A is generally due on the 15th day of the 4th month following the end of the corporation's tax year.

Q: Is there an extension available for filing Form CT-3-A?
A: Yes, there is an extension available. Corporations can request an automatic extension of 6 months by filing Form CT-5.

Q: What information is required on Form CT-3-A?
A: Form CT-3-A requires information about the corporation's income, deductions, credits, and franchise tax owed.

Q: Are there any penalties for not filing Form CT-3-A on time?
A: Yes, there are penalties for late filing of Form CT-3-A. The penalty is based on the amount of tax due and the number of days overdue.

Q: Can I electronically file Form CT-3-A?
A: Yes, you can electronically file Form CT-3-A using approved tax software or through a tax professional.

Q: Is there a separate form for combined franchise tax return?
A: Yes, Form CT-3-A is specifically for combined franchise tax return for general business corporations in New York.

ADVERTISEMENT

Instruction Details:

  • This 40-page document is available for download in PDF;
  • Might not be applicable for the current year. Choose a more recent version;
  • Complete, printable, and free.

Download your copy of the instructions by clicking the link below or browse hundreds of other forms in our library of forms released by the New York State Department of Taxation and Finance.

Download Instructions for Form CT-3-A General Business Corporation Combined Franchise Tax Return - New York

4.6 of 5 (11 votes)
  • Instructions for Form CT-3-A General Business Corporation Combined Franchise Tax Return - New York

    1

  • Instructions for Form CT-3-A General Business Corporation Combined Franchise Tax Return - New York, Page 2

    2

  • Instructions for Form CT-3-A General Business Corporation Combined Franchise Tax Return - New York, Page 3

    3

  • Instructions for Form CT-3-A General Business Corporation Combined Franchise Tax Return - New York, Page 4

    4

  • Instructions for Form CT-3-A General Business Corporation Combined Franchise Tax Return - New York, Page 5

    5

  • Instructions for Form CT-3-A General Business Corporation Combined Franchise Tax Return - New York, Page 6

    6

  • Instructions for Form CT-3-A General Business Corporation Combined Franchise Tax Return - New York, Page 7

    7

  • Instructions for Form CT-3-A General Business Corporation Combined Franchise Tax Return - New York, Page 8

    8

  • Instructions for Form CT-3-A General Business Corporation Combined Franchise Tax Return - New York, Page 9

    9

  • Instructions for Form CT-3-A General Business Corporation Combined Franchise Tax Return - New York, Page 10

    10

  • Instructions for Form CT-3-A General Business Corporation Combined Franchise Tax Return - New York, Page 11

    11

  • Instructions for Form CT-3-A General Business Corporation Combined Franchise Tax Return - New York, Page 12

    12

  • Instructions for Form CT-3-A General Business Corporation Combined Franchise Tax Return - New York, Page 13

    13

  • Instructions for Form CT-3-A General Business Corporation Combined Franchise Tax Return - New York, Page 14

    14

  • Instructions for Form CT-3-A General Business Corporation Combined Franchise Tax Return - New York, Page 15

    15

  • Instructions for Form CT-3-A General Business Corporation Combined Franchise Tax Return - New York, Page 16

    16

  • Instructions for Form CT-3-A General Business Corporation Combined Franchise Tax Return - New York, Page 17

    17

  • Instructions for Form CT-3-A General Business Corporation Combined Franchise Tax Return - New York, Page 18

    18

  • Instructions for Form CT-3-A General Business Corporation Combined Franchise Tax Return - New York, Page 19

    19

  • Instructions for Form CT-3-A General Business Corporation Combined Franchise Tax Return - New York, Page 20

    20

  • Instructions for Form CT-3-A General Business Corporation Combined Franchise Tax Return - New York, Page 21

    21

  • Instructions for Form CT-3-A General Business Corporation Combined Franchise Tax Return - New York, Page 22

    22

  • Instructions for Form CT-3-A General Business Corporation Combined Franchise Tax Return - New York, Page 23

    23

  • Instructions for Form CT-3-A General Business Corporation Combined Franchise Tax Return - New York, Page 24

    24

  • Instructions for Form CT-3-A General Business Corporation Combined Franchise Tax Return - New York, Page 25

    25

  • Instructions for Form CT-3-A General Business Corporation Combined Franchise Tax Return - New York, Page 26

    26

  • Instructions for Form CT-3-A General Business Corporation Combined Franchise Tax Return - New York, Page 27

    27

  • Instructions for Form CT-3-A General Business Corporation Combined Franchise Tax Return - New York, Page 28

    28

  • Instructions for Form CT-3-A General Business Corporation Combined Franchise Tax Return - New York, Page 29

    29

  • Instructions for Form CT-3-A General Business Corporation Combined Franchise Tax Return - New York, Page 30

    30

  • Instructions for Form CT-3-A General Business Corporation Combined Franchise Tax Return - New York, Page 31

    31

  • Instructions for Form CT-3-A General Business Corporation Combined Franchise Tax Return - New York, Page 32

    32

  • Instructions for Form CT-3-A General Business Corporation Combined Franchise Tax Return - New York, Page 33

    33

  • Instructions for Form CT-3-A General Business Corporation Combined Franchise Tax Return - New York, Page 34

    34

  • Instructions for Form CT-3-A General Business Corporation Combined Franchise Tax Return - New York, Page 35

    35

  • Instructions for Form CT-3-A General Business Corporation Combined Franchise Tax Return - New York, Page 36

    36

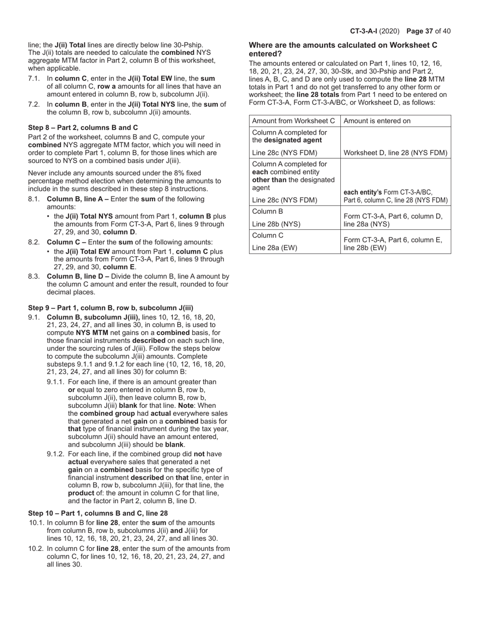
  • Instructions for Form CT-3-A General Business Corporation Combined Franchise Tax Return - New York, Page 37

    37

  • Instructions for Form CT-3-A General Business Corporation Combined Franchise Tax Return - New York, Page 38

    38

  • Instructions for Form CT-3-A General Business Corporation Combined Franchise Tax Return - New York, Page 39

    39

  • Instructions for Form CT-3-A General Business Corporation Combined Franchise Tax Return - New York, Page 40

    40

  • Instructions for Form CT-3-A General Business Corporation Combined Franchise Tax Return - New York, Page 1
  • Instructions for Form CT-3-A General Business Corporation Combined Franchise Tax Return - New York, Page 2
  • Instructions for Form CT-3-A General Business Corporation Combined Franchise Tax Return - New York, Page 3
  • Instructions for Form CT-3-A General Business Corporation Combined Franchise Tax Return - New York, Page 4
  • Instructions for Form CT-3-A General Business Corporation Combined Franchise Tax Return - New York, Page 5
  • Instructions for Form CT-3-A General Business Corporation Combined Franchise Tax Return - New York, Page 6
  • Instructions for Form CT-3-A General Business Corporation Combined Franchise Tax Return - New York, Page 7
  • Instructions for Form CT-3-A General Business Corporation Combined Franchise Tax Return - New York, Page 8
  • Instructions for Form CT-3-A General Business Corporation Combined Franchise Tax Return - New York, Page 9
  • Instructions for Form CT-3-A General Business Corporation Combined Franchise Tax Return - New York, Page 10
  • Instructions for Form CT-3-A General Business Corporation Combined Franchise Tax Return - New York, Page 11
  • Instructions for Form CT-3-A General Business Corporation Combined Franchise Tax Return - New York, Page 12
  • Instructions for Form CT-3-A General Business Corporation Combined Franchise Tax Return - New York, Page 13
  • Instructions for Form CT-3-A General Business Corporation Combined Franchise Tax Return - New York, Page 14
  • Instructions for Form CT-3-A General Business Corporation Combined Franchise Tax Return - New York, Page 15
  • Instructions for Form CT-3-A General Business Corporation Combined Franchise Tax Return - New York, Page 16
  • Instructions for Form CT-3-A General Business Corporation Combined Franchise Tax Return - New York, Page 17
  • Instructions for Form CT-3-A General Business Corporation Combined Franchise Tax Return - New York, Page 18
  • Instructions for Form CT-3-A General Business Corporation Combined Franchise Tax Return - New York, Page 19
  • Instructions for Form CT-3-A General Business Corporation Combined Franchise Tax Return - New York, Page 20
  • Instructions for Form CT-3-A General Business Corporation Combined Franchise Tax Return - New York, Page 21
  • Instructions for Form CT-3-A General Business Corporation Combined Franchise Tax Return - New York, Page 22
  • Instructions for Form CT-3-A General Business Corporation Combined Franchise Tax Return - New York, Page 23
  • Instructions for Form CT-3-A General Business Corporation Combined Franchise Tax Return - New York, Page 24
  • Instructions for Form CT-3-A General Business Corporation Combined Franchise Tax Return - New York, Page 25
  • Instructions for Form CT-3-A General Business Corporation Combined Franchise Tax Return - New York, Page 26
  • Instructions for Form CT-3-A General Business Corporation Combined Franchise Tax Return - New York, Page 27
  • Instructions for Form CT-3-A General Business Corporation Combined Franchise Tax Return - New York, Page 28
  • Instructions for Form CT-3-A General Business Corporation Combined Franchise Tax Return - New York, Page 29
  • Instructions for Form CT-3-A General Business Corporation Combined Franchise Tax Return - New York, Page 30
  • Instructions for Form CT-3-A General Business Corporation Combined Franchise Tax Return - New York, Page 31
  • Instructions for Form CT-3-A General Business Corporation Combined Franchise Tax Return - New York, Page 32
  • Instructions for Form CT-3-A General Business Corporation Combined Franchise Tax Return - New York, Page 33
  • Instructions for Form CT-3-A General Business Corporation Combined Franchise Tax Return - New York, Page 34
  • Instructions for Form CT-3-A General Business Corporation Combined Franchise Tax Return - New York, Page 35
  • Instructions for Form CT-3-A General Business Corporation Combined Franchise Tax Return - New York, Page 36
  • Instructions for Form CT-3-A General Business Corporation Combined Franchise Tax Return - New York, Page 37
  • Instructions for Form CT-3-A General Business Corporation Combined Franchise Tax Return - New York, Page 38
  • Instructions for Form CT-3-A General Business Corporation Combined Franchise Tax Return - New York, Page 39
  • Instructions for Form CT-3-A General Business Corporation Combined Franchise Tax Return - New York, Page 40
Prev 1 2 3 4 5 ... 40 Next
ADVERTISEMENT