Government Records Request Form - New Jersey

Government Records Request Form - New Jersey

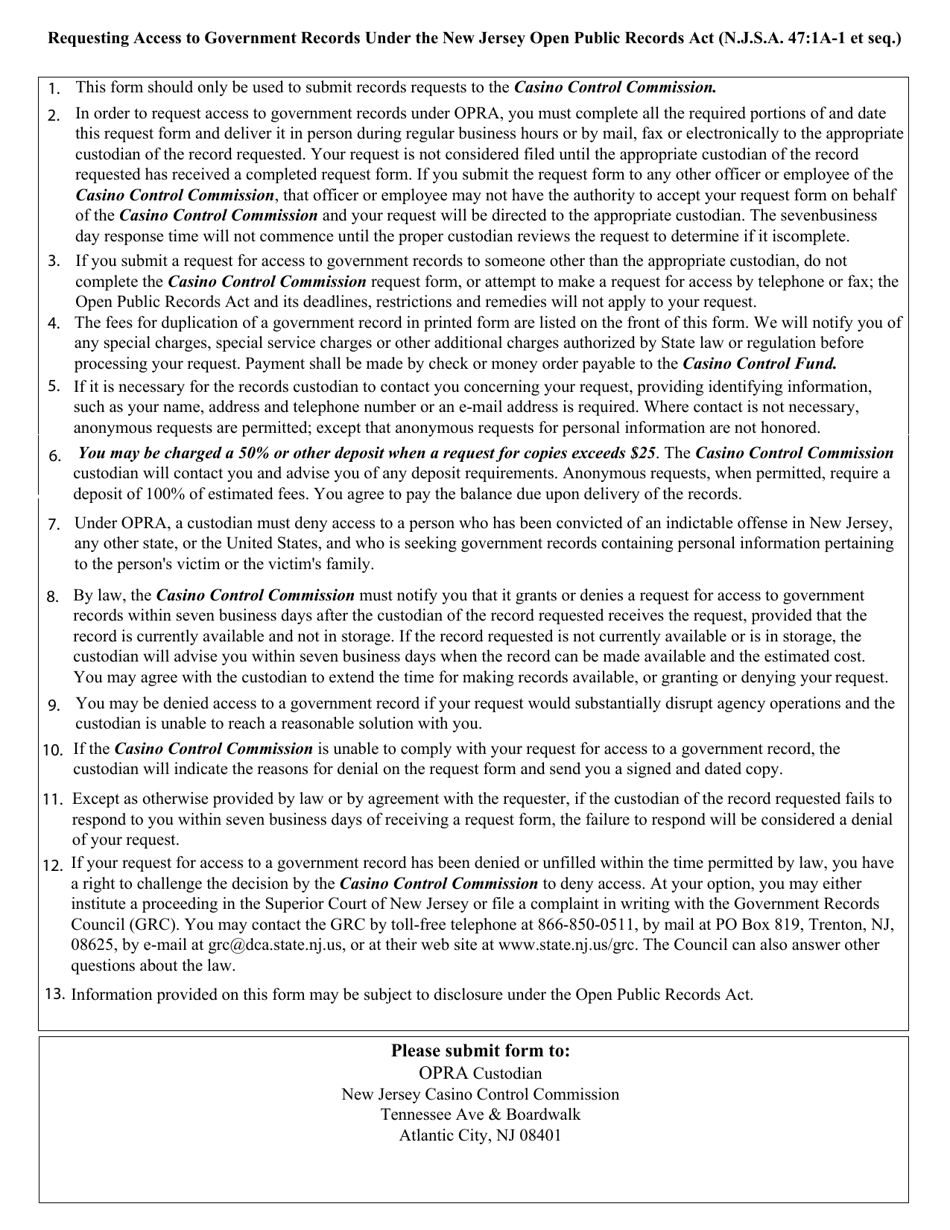
Government Records Request Form is a legal document that was released by the New Jersey Casino Control Commission - a government authority operating within New Jersey.

FAQ

Q: What is a government records request?
A: A government records request is a formal request made by an individual to access records held by a government agency.

Q: Who can make a government records request in New Jersey?
A: Any person residing in or having an interest in government records of New Jersey can make a government records request.

Q: What is the purpose of a government records request?
A: The purpose of a government records request is to promote transparency and accountability in government by granting public access to government records.

Q: What kind of records can be requested?
A: Any records held by a government agency, including documents, emails, reports, meeting minutes, and more, can be requested.

Q: Are there any fees associated with a government records request?
A: Yes, there may be fees associated with a government records request, such as copying fees or search fees. However, some requests may be fulfilled free of charge.

Q: How long does it take to receive a response to a government records request?
A: Government agencies in New Jersey are required to acknowledge receipt of a records request within seven business days and provide a response within a reasonable time period.

Q: What if my government records request is denied?
A: If your government records request is denied, you have the right to appeal the denial to the New Jersey Government Records Council.

Q: Are there any exemptions to government records requests?
A: Yes, there are certain exemptions to government records requests, such as records related to ongoing investigations, personal privacy information, or attorney-client privileged communications.

ADVERTISEMENT

Form Details:

  • The latest edition currently provided by the New Jersey Casino Control Commission;
  • Ready to use and print;
  • Easy to customize;
  • Compatible with most PDF-viewing applications;
  • Fill out the form in our online filing application.

Download a fillable version of the form by clicking the link below or browse more documents and templates provided by the New Jersey Casino Control Commission.

Download Government Records Request Form - New Jersey

4.5 of 5 (14 votes)
  • Government Records Request Form - New Jersey

    1

  • Government Records Request Form - New Jersey, Page 2

    2

  • Government Records Request Form - New Jersey, Page 1
  • Government Records Request Form - New Jersey, Page 2
Prev 1 2 Next
ADVERTISEMENT