Form GEN1031 Annual County Training Plan - California

Notification Icon This version of the form is not currently in use and is provided for reference only. Download this version of Form GEN1031 for the current year.

Form GEN1031 Annual County Training Plan - California

What Is Form GEN1031?

This is a legal form that was released by the California Department of Social Services - a government authority operating within California. As of today, no separate filing guidelines for the form are provided by the issuing department.

FAQ

Q: What is GEN1031?
A: GEN1031 is the code for a specific form used in California.

Q: What is the purpose of the Annual County Training Plan?
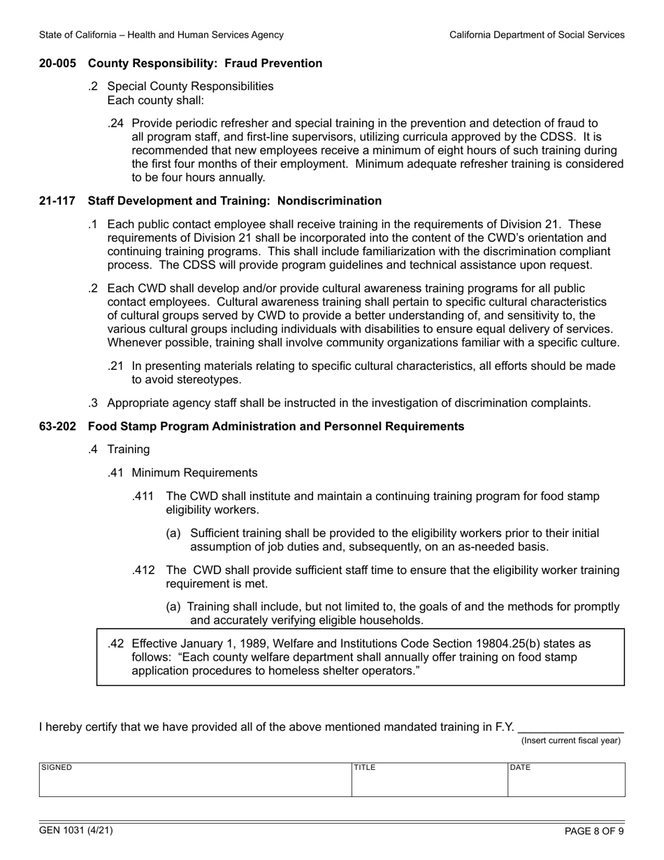
A: The purpose of the Annual County Training Plan is to outline the training requirements and objectives for a county in California.

Q: Who is responsible for preparing the Annual County Training Plan?
A: The responsibility of preparing the Annual County Training Plan lies with the county in California.

Q: What does the Annual County Training Plan include?
A: The Annual County Training Plan includes a summary of training needs, goals, proposed training activities, and associated costs.

Q: Is the Annual County Training Plan mandatory?
A: Yes, the Annual County Training Plan is mandatory for counties in California.

Q: Who approves the Annual County Training Plan?
A: The Annual County Training Plan is approved by the appropriate county authority.

Q: Can the Annual County Training Plan be modified?
A: Yes, the Annual County Training Plan can be modified if necessary.

Q: Are there any specific guidelines for preparing the Annual County Training Plan?
A: Yes, there may be specific guidelines or templates provided by the state or county authorities for preparing the Annual County Training Plan.

Q: When should the Annual County Training Plan be submitted?
A: The Annual County Training Plan should be submitted according to the designated timeline set by the county or state authority.

Q: What happens if the Annual County Training Plan is not submitted?
A: Failure to submit the Annual County Training Plan may result in penalties or non-compliance issues.

ADVERTISEMENT

Form Details:

  • Released on April 1, 2021;
  • The latest edition provided by the California Department of Social Services;
  • Easy to use and ready to print;
  • Quick to customize;
  • Compatible with most PDF-viewing applications;
  • Fill out the form in our online filing application.

Download a fillable version of Form GEN1031 by clicking the link below or browse more documents and templates provided by the California Department of Social Services.

Download Form GEN1031 Annual County Training Plan - California

4.5 of 5 (10 votes)
  • Form GEN1031 Annual County Training Plan - California

    1

  • Form GEN1031 Annual County Training Plan - California, Page 2

    2

  • Form GEN1031 Annual County Training Plan - California, Page 3

    3

  • Form GEN1031 Annual County Training Plan - California, Page 4

    4

  • Form GEN1031 Annual County Training Plan - California, Page 5

    5

  • Form GEN1031 Annual County Training Plan - California, Page 6

    6

  • Form GEN1031 Annual County Training Plan - California, Page 7

    7

  • Form GEN1031 Annual County Training Plan - California, Page 8

    8

  • Form GEN1031 Annual County Training Plan - California, Page 9

    9

  • Form GEN1031 Annual County Training Plan - California, Page 1
  • Form GEN1031 Annual County Training Plan - California, Page 2
  • Form GEN1031 Annual County Training Plan - California, Page 3
  • Form GEN1031 Annual County Training Plan - California, Page 4
  • Form GEN1031 Annual County Training Plan - California, Page 5
  • Form GEN1031 Annual County Training Plan - California, Page 6
  • Form GEN1031 Annual County Training Plan - California, Page 7
  • Form GEN1031 Annual County Training Plan - California, Page 8
  • Form GEN1031 Annual County Training Plan - California, Page 9
Prev 1 2 3 4 5 ... 9 Next
ADVERTISEMENT