SEC Form 907 (S-11) Registration of Securities of Certain Real Estate Companies

Notification Icon This version of the form is not currently in use and is provided for reference only. Download this version of SEC Form 907 (S-11) for the current year.

SEC Form 907 (S-11) Registration of Securities of Certain Real Estate Companies

What Is SEC Form 907 (S-11)?

This is a legal form that was released by the U.S. Securities and Exchange Commission on January 1, 2021 and used country-wide. As of today, no separate filing guidelines for the form are provided by the issuing department.

FAQ

Q: What is SEC Form 907?
A: SEC Form 907 is a registration form used by certain real estate companies to register securities with the Securities and Exchange Commission (SEC).

Q: Who is required to file SEC Form 907?
A: Certain real estate companies that are offering securities to the public are required to file SEC Form 907.

Q: What does SEC Form 907 involve?
A: SEC Form 907 involves providing information about the real estate company, its securities, and other relevant details required by the SEC.

Q: Why is SEC Form 907 important?
A: SEC Form 907 is important as it allows investors and the SEC to obtain information about the real estate company and its securities, ensuring transparency and compliance with regulations.

ADVERTISEMENT

Form Details:

  • Released on January 1, 2021;
  • The latest available edition released by the U.S. Securities and Exchange Commission;
  • Easy to use and ready to print;
  • Yours to fill out and keep for your records;
  • Compatible with most PDF-viewing applications;
  • Fill out the form in our online filing application.

Download a printable version of SEC Form 907 (S-11) by clicking the link below or browse more documents and templates provided by the U.S. Securities and Exchange Commission.

Download SEC Form 907 (S-11) Registration of Securities of Certain Real Estate Companies

4.5 of 5 (15 votes)
  • SEC Form 907 (S-11) Registration of Securities of Certain Real Estate Companies

    1

  • SEC Form 907 (S-11) Registration of Securities of Certain Real Estate Companies, Page 2

    2

  • SEC Form 907 (S-11) Registration of Securities of Certain Real Estate Companies, Page 3

    3

  • SEC Form 907 (S-11) Registration of Securities of Certain Real Estate Companies, Page 4

    4

  • SEC Form 907 (S-11) Registration of Securities of Certain Real Estate Companies, Page 5

    5

  • SEC Form 907 (S-11) Registration of Securities of Certain Real Estate Companies, Page 6

    6

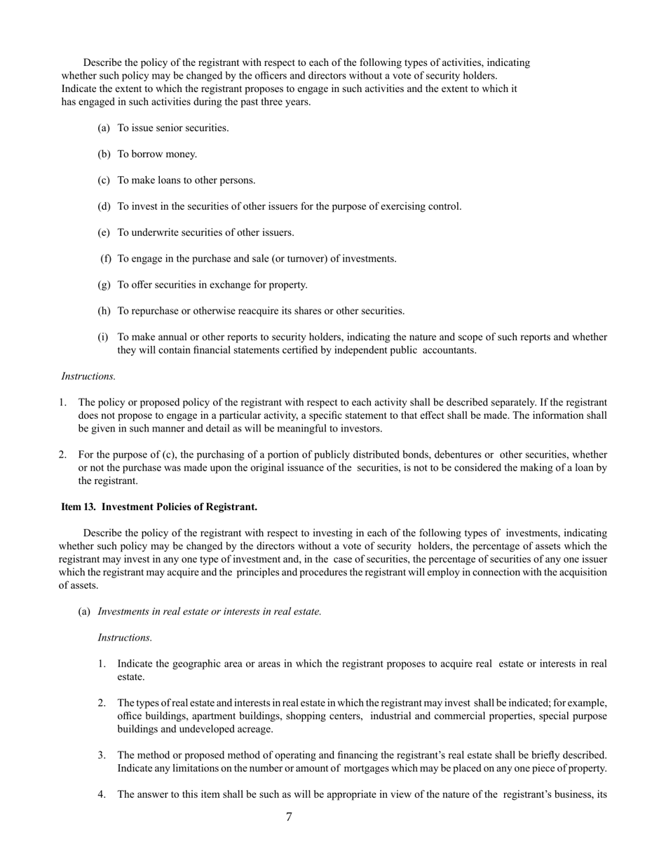
  • SEC Form 907 (S-11) Registration of Securities of Certain Real Estate Companies, Page 7

    7

  • SEC Form 907 (S-11) Registration of Securities of Certain Real Estate Companies, Page 8

    8

  • SEC Form 907 (S-11) Registration of Securities of Certain Real Estate Companies, Page 9

    9

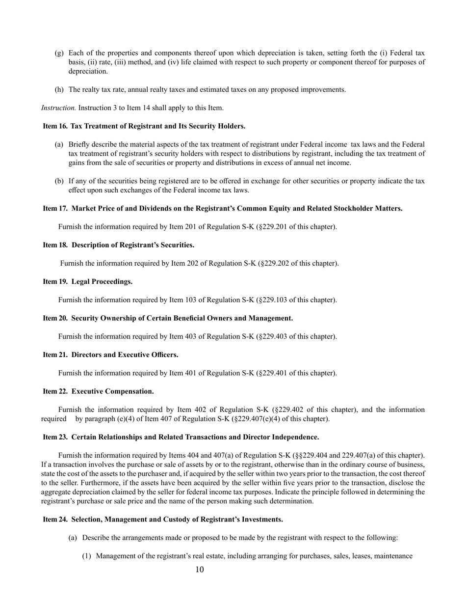
  • SEC Form 907 (S-11) Registration of Securities of Certain Real Estate Companies, Page 10

    10

  • SEC Form 907 (S-11) Registration of Securities of Certain Real Estate Companies, Page 11

    11

  • SEC Form 907 (S-11) Registration of Securities of Certain Real Estate Companies, Page 12

    12

  • SEC Form 907 (S-11) Registration of Securities of Certain Real Estate Companies, Page 13

    13

  • SEC Form 907 (S-11) Registration of Securities of Certain Real Estate Companies, Page 14

    14

  • SEC Form 907 (S-11) Registration of Securities of Certain Real Estate Companies, Page 1
  • SEC Form 907 (S-11) Registration of Securities of Certain Real Estate Companies, Page 2
  • SEC Form 907 (S-11) Registration of Securities of Certain Real Estate Companies, Page 3
  • SEC Form 907 (S-11) Registration of Securities of Certain Real Estate Companies, Page 4
  • SEC Form 907 (S-11) Registration of Securities of Certain Real Estate Companies, Page 5
  • SEC Form 907 (S-11) Registration of Securities of Certain Real Estate Companies, Page 6
  • SEC Form 907 (S-11) Registration of Securities of Certain Real Estate Companies, Page 7
  • SEC Form 907 (S-11) Registration of Securities of Certain Real Estate Companies, Page 8
  • SEC Form 907 (S-11) Registration of Securities of Certain Real Estate Companies, Page 9
  • SEC Form 907 (S-11) Registration of Securities of Certain Real Estate Companies, Page 10
  • SEC Form 907 (S-11) Registration of Securities of Certain Real Estate Companies, Page 11
  • SEC Form 907 (S-11) Registration of Securities of Certain Real Estate Companies, Page 12
  • SEC Form 907 (S-11) Registration of Securities of Certain Real Estate Companies, Page 13
  • SEC Form 907 (S-11) Registration of Securities of Certain Real Estate Companies, Page 14
Prev 1 2 3 4 5 ... 14 Next
ADVERTISEMENT

Related Documents