Domestic Limited Liability Company (LLC) Certificate of Formation - Alabama

Notification Icon This version of the form is not currently in use and is provided for reference only. Download this version of the document for the current year.

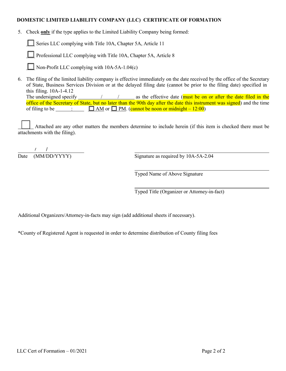
Domestic Limited Liability Company (LLC) Certificate of Formation - Alabama

Domestic Limited Liability Company (LLC) Certificate of Formation is a legal document that was released by the Alabama Secretary of State - a government authority operating within Alabama.

FAQ

Q: What is a Domestic Limited Liability Company (LLC)?
A: A Domestic Limited Liability Company (LLC) is a business entity that combines the liability protection of a corporation with the tax advantages and flexibility of a partnership.

Q: What is a Certificate of Formation?
A: A Certificate of Formation is a legal document that needs to be filed with the appropriate state agency to officially form an LLC.

Q: Why do I need to file a Certificate of Formation?
A: Filing a Certificate of Formation is necessary to create a legally recognized LLC. It establishes the LLC as a separate legal entity from its owners and provides some liability protection to the owners.

Q: How do I file a Certificate of Formation for an LLC in Alabama?
A: To file a Certificate of Formation for an LLC in Alabama, you need to complete the required form and submit it to the Alabama Secretary of State's office, along with the appropriate filing fee.

Q: What information is required in a Certificate of Formation?
A: The information required in a Certificate of Formation typically includes the name of the LLC, the address, the names and addresses of the members or managers, and other details as required by the state.

Q: How much does it cost to file a Certificate of Formation in Alabama?
A: The filing fee for a Certificate of Formation in Alabama is typically around $200, but it may vary. It is best to check with the Alabama Secretary of State's office for the accurate fee.

Q: Can I form an LLC without a lawyer?
A: Yes, you can form an LLC without a lawyer. However, it is recommended to consult with a lawyer or a professional service to ensure that you complete the process correctly and comply with all legal requirements.

Q: How long does it take to get a Certificate of Formation in Alabama?
A: The processing time for a Certificate of Formation in Alabama can vary. It may take several weeks or longer to receive the approved certificate. You can check the current processing times with the Alabama Secretary of State's office.

Q: What are the benefits of forming an LLC?
A: Forming an LLC provides limited liability protection to its owners, allows for pass-through taxation, and offers flexibility in management and ownership structure.

Q: What are the annual requirements for an LLC in Alabama?
A: In Alabama, LLCs are required to file an Annual Report and pay an annual fee to maintain their legal status. The Annual Report provides updates on the LLC's ownership and contact information.

ADVERTISEMENT

Form Details:

  • Released on January 1, 2021;
  • The latest edition currently provided by the Alabama Secretary of State;
  • Ready to use and print;
  • Easy to customize;
  • Compatible with most PDF-viewing applications;
  • Fill out the form in our online filing application.

Download a fillable version of the form by clicking the link below or browse more documents and templates provided by the Alabama Secretary of State.

Download Domestic Limited Liability Company (LLC) Certificate of Formation - Alabama

4.5 of 5 (27 votes)
  • Domestic Limited Liability Company (LLC) Certificate of Formation - Alabama

    1

  • Domestic Limited Liability Company (LLC) Certificate of Formation - Alabama, Page 2

    2

  • Domestic Limited Liability Company (LLC) Certificate of Formation - Alabama, Page 3

    3

  • Domestic Limited Liability Company (LLC) Certificate of Formation - Alabama, Page 1
  • Domestic Limited Liability Company (LLC) Certificate of Formation - Alabama, Page 2
  • Domestic Limited Liability Company (LLC) Certificate of Formation - Alabama, Page 3
Prev 1 2 3 Next
ADVERTISEMENT

Related Documents