Instructions for Form ACFR-7 Grant Commitments - Vermont

Notification Icon This version of the form is not currently in use and is provided for reference only. Download this version of Instructions for Form ACFR-7 for the current year.

Instructions for Form ACFR-7 Grant Commitments - Vermont

This document contains official instructions for Form ACFR-7 , Grant Commitments - a form released and collected by the Vermont Department of Finance & Management.

FAQ

Q: What is Form ACFR-7?
A: Form ACFR-7 is a grant commitment form in Vermont.

Q: What are grant commitments?
A: Grant commitments refer to the obligations made by the grantor to the grantee.

Q: Who needs to complete Form ACFR-7?
A: Any individual or organization receiving grants in Vermont may need to complete Form ACFR-7.

Q: What information is required in Form ACFR-7?
A: Form ACFR-7 requires information such as the grantee's name, address, grant amount, and project description.

Q: What is the purpose of Form ACFR-7?
A: Form ACFR-7 is used to document the grant commitments made by the grantor and ensure compliance with grant conditions.

Q: Are there any deadlines for submitting Form ACFR-7?
A: Deadlines for submitting Form ACFR-7 may vary depending on the specific grant program. It is important to check the grant guidelines for deadlines.

Q: What happens after submitting Form ACFR-7?
A: After submitting Form ACFR-7, the granting agency will review the information provided and may communicate any further steps or requirements.

Q: Is there a fee for submitting Form ACFR-7?
A: There is no fee for submitting Form ACFR-7. However, grant recipients may be responsible for any costs associated with fulfilling the grant commitments.

ADVERTISEMENT

Instruction Details:

  • This 4-page document is available for download in PDF;
  • Might not be applicable for the current year. Choose a more recent version;
  • Complete, printable, and free.

Download your copy of the instructions by clicking the link below or browse hundreds of other forms in our library of forms released by the Vermont Department of Finance & Management.

Download Instructions for Form ACFR-7 Grant Commitments - Vermont

4.6 of 5 (19 votes)
  • Instructions for Form ACFR-7 Grant Commitments - Vermont

    1

  • Instructions for Form ACFR-7 Grant Commitments - Vermont, Page 2

    2

  • Instructions for Form ACFR-7 Grant Commitments - Vermont, Page 3

    3

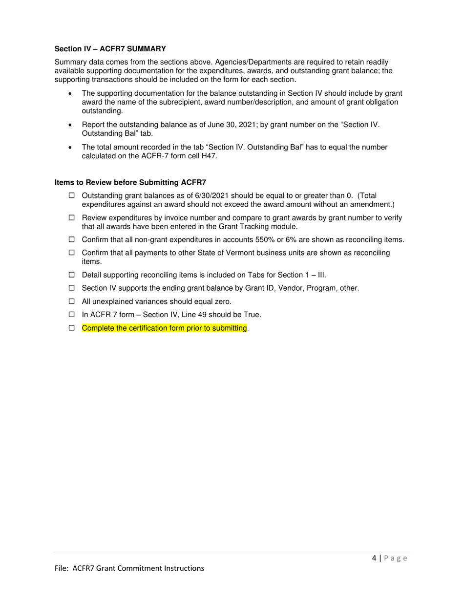
  • Instructions for Form ACFR-7 Grant Commitments - Vermont, Page 4

    4

  • Instructions for Form ACFR-7 Grant Commitments - Vermont, Page 1
  • Instructions for Form ACFR-7 Grant Commitments - Vermont, Page 2
  • Instructions for Form ACFR-7 Grant Commitments - Vermont, Page 3
  • Instructions for Form ACFR-7 Grant Commitments - Vermont, Page 4
Prev 1 2 3 4 Next
ADVERTISEMENT