SEC Form 2077 (S-4) Registration Statement Under the Securities Act of 1933

Notification Icon This version of the form is not currently in use and is provided for reference only. Download this version of SEC Form 2077 (S-4) for the current year.

SEC Form 2077 (S-4) Registration Statement Under the Securities Act of 1933

What Is SEC Form 2077 (S-4)?

This is a legal form that was released by the U.S. Securities and Exchange Commission on February 1, 2021 and used country-wide. As of today, no separate filing guidelines for the form are provided by the issuing department.

FAQ

Q: What is SEC Form 2077 (S-4)?
A: SEC Form 2077 (S-4) is a registration statement filed under the Securities Act of 1933.

Q: What is the purpose of SEC Form 2077 (S-4)?
A: The purpose of SEC Form 2077 (S-4) is to register securities for a business combination or exchange offer.

Q: What does the Securities Act of 1933 refer to?
A: The Securities Act of 1933 refers to a federal law that regulates the offer and sale of securities.

Q: Who is required to file SEC Form 2077 (S-4)?
A: Companies involved in a business combination or exchange offer are required to file SEC Form 2077 (S-4).

Q: What information is included in SEC Form 2077 (S-4)?
A: SEC Form 2077 (S-4) includes information about the securities being registered, the business combination or exchange offer, and the company's financial statements.

Q: Are there any filing fees for SEC Form 2077 (S-4)?
A: Yes, there are filing fees associated with SEC Form 2077 (S-4), which can vary depending on the size of the offering.

ADVERTISEMENT

Form Details:

  • Released on February 1, 2021;
  • The latest available edition released by the U.S. Securities and Exchange Commission;
  • Easy to use and ready to print;
  • Yours to fill out and keep for your records;
  • Compatible with most PDF-viewing applications;
  • Fill out the form in our online filing application.

Download a printable version of SEC Form 2077 (S-4) by clicking the link below or browse more documents and templates provided by the U.S. Securities and Exchange Commission.

Download SEC Form 2077 (S-4) Registration Statement Under the Securities Act of 1933

4.6 of 5 (28 votes)
  • SEC Form 2077 (S-4) Registration Statement Under the Securities Act of 1933

    1

  • SEC Form 2077 (S-4) Registration Statement Under the Securities Act of 1933, Page 2

    2

  • SEC Form 2077 (S-4) Registration Statement Under the Securities Act of 1933, Page 3

    3

  • SEC Form 2077 (S-4) Registration Statement Under the Securities Act of 1933, Page 4

    4

  • SEC Form 2077 (S-4) Registration Statement Under the Securities Act of 1933, Page 5

    5

  • SEC Form 2077 (S-4) Registration Statement Under the Securities Act of 1933, Page 6

    6

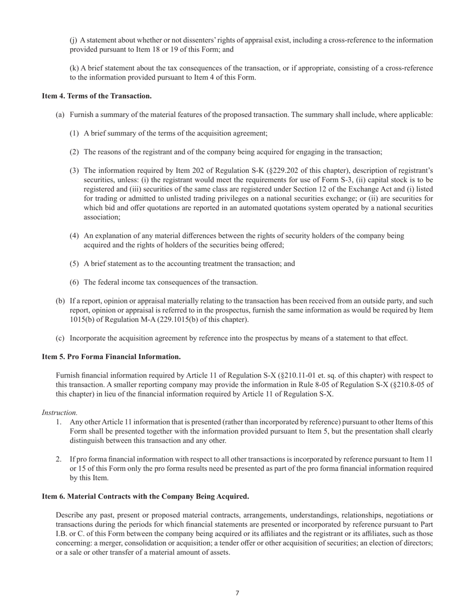
  • SEC Form 2077 (S-4) Registration Statement Under the Securities Act of 1933, Page 7

    7

  • SEC Form 2077 (S-4) Registration Statement Under the Securities Act of 1933, Page 8

    8

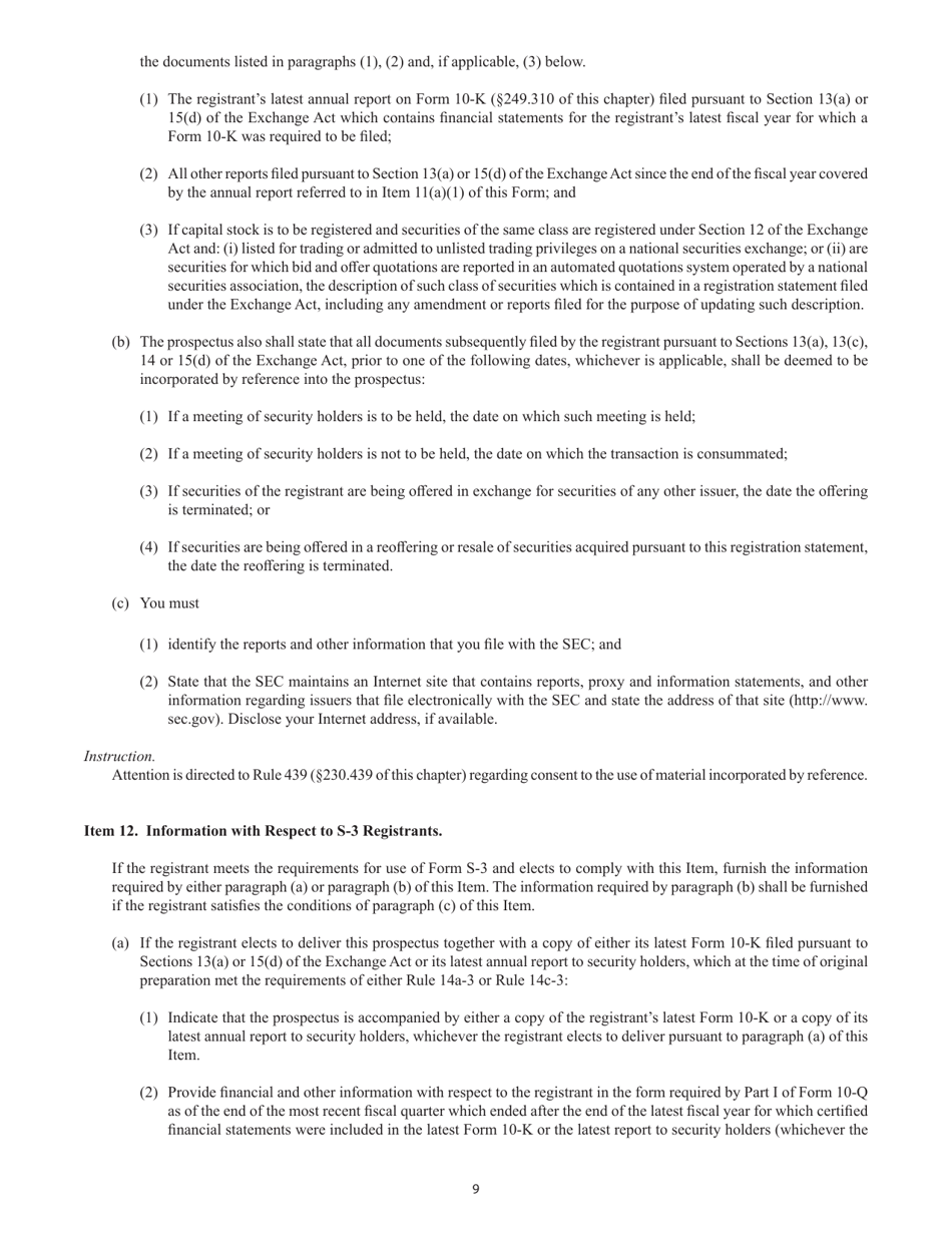
  • SEC Form 2077 (S-4) Registration Statement Under the Securities Act of 1933, Page 9

    9

  • SEC Form 2077 (S-4) Registration Statement Under the Securities Act of 1933, Page 10

    10

  • SEC Form 2077 (S-4) Registration Statement Under the Securities Act of 1933, Page 11

    11

  • SEC Form 2077 (S-4) Registration Statement Under the Securities Act of 1933, Page 12

    12

  • SEC Form 2077 (S-4) Registration Statement Under the Securities Act of 1933, Page 13

    13

  • SEC Form 2077 (S-4) Registration Statement Under the Securities Act of 1933, Page 14

    14

  • SEC Form 2077 (S-4) Registration Statement Under the Securities Act of 1933, Page 15

    15

  • SEC Form 2077 (S-4) Registration Statement Under the Securities Act of 1933, Page 16

    16

  • SEC Form 2077 (S-4) Registration Statement Under the Securities Act of 1933, Page 17

    17

  • SEC Form 2077 (S-4) Registration Statement Under the Securities Act of 1933, Page 1
  • SEC Form 2077 (S-4) Registration Statement Under the Securities Act of 1933, Page 2
  • SEC Form 2077 (S-4) Registration Statement Under the Securities Act of 1933, Page 3
  • SEC Form 2077 (S-4) Registration Statement Under the Securities Act of 1933, Page 4
  • SEC Form 2077 (S-4) Registration Statement Under the Securities Act of 1933, Page 5
  • SEC Form 2077 (S-4) Registration Statement Under the Securities Act of 1933, Page 6
  • SEC Form 2077 (S-4) Registration Statement Under the Securities Act of 1933, Page 7
  • SEC Form 2077 (S-4) Registration Statement Under the Securities Act of 1933, Page 8
  • SEC Form 2077 (S-4) Registration Statement Under the Securities Act of 1933, Page 9
  • SEC Form 2077 (S-4) Registration Statement Under the Securities Act of 1933, Page 10
  • SEC Form 2077 (S-4) Registration Statement Under the Securities Act of 1933, Page 11
  • SEC Form 2077 (S-4) Registration Statement Under the Securities Act of 1933, Page 12
  • SEC Form 2077 (S-4) Registration Statement Under the Securities Act of 1933, Page 13
  • SEC Form 2077 (S-4) Registration Statement Under the Securities Act of 1933, Page 14
  • SEC Form 2077 (S-4) Registration Statement Under the Securities Act of 1933, Page 15
  • SEC Form 2077 (S-4) Registration Statement Under the Securities Act of 1933, Page 16
  • SEC Form 2077 (S-4) Registration Statement Under the Securities Act of 1933, Page 17
Prev 1 2 3 4 5 ... 17 Next
ADVERTISEMENT

Related Documents