Application for Renewal of a Permanent Retail Consumer Fireworks Facility - Pennsylvania

Application for Renewal of a Permanent Retail Consumer Fireworks Facility - Pennsylvania

Application for Renewal of a Permanent Retail Consumer Fireworks Facility is a legal document that was released by the Pennsylvania Department of Agriculture - a government authority operating within Pennsylvania.

FAQ

Q: What is the application for?
A: Renewal of a Permanent Retail Consumer Fireworks Facility.

Q: What kind of facility is it?
A: It is a Permanent Retail Consumer Fireworks Facility.

Q: Can I renew my facility permanently?
A: Yes, you can renew your facility permanently.

Q: Can I renew my facility in any other state?
A: No, you can only renew your facility in Pennsylvania.

Q: What documents are required for renewal?
A: The specific documents required may vary, check with the relevant authorities for the list of required documents.

Q: Can I operate my facility while my application is being processed?
A: The regulations may vary, check with the relevant authorities for the specific requirements.

Q: How long does the renewal process take?
A: The processing time may vary, check with the relevant authorities for an estimated processing time.

Q: Is there a fee for the renewal application?
A: Yes, there is a fee for the renewal application. The amount may vary, check with the relevant authorities for the current fee.

ADVERTISEMENT

Form Details:

  • The latest edition currently provided by the Pennsylvania Department of Agriculture;
  • Ready to use and print;
  • Easy to customize;
  • Compatible with most PDF-viewing applications;
  • Fill out the form in our online filing application.

Download a fillable version of the form by clicking the link below or browse more documents and templates provided by the Pennsylvania Department of Agriculture.

Download Application for Renewal of a Permanent Retail Consumer Fireworks Facility - Pennsylvania

4.7 of 5 (11 votes)
  • Application for Renewal of a Permanent Retail Consumer Fireworks Facility - Pennsylvania

    1

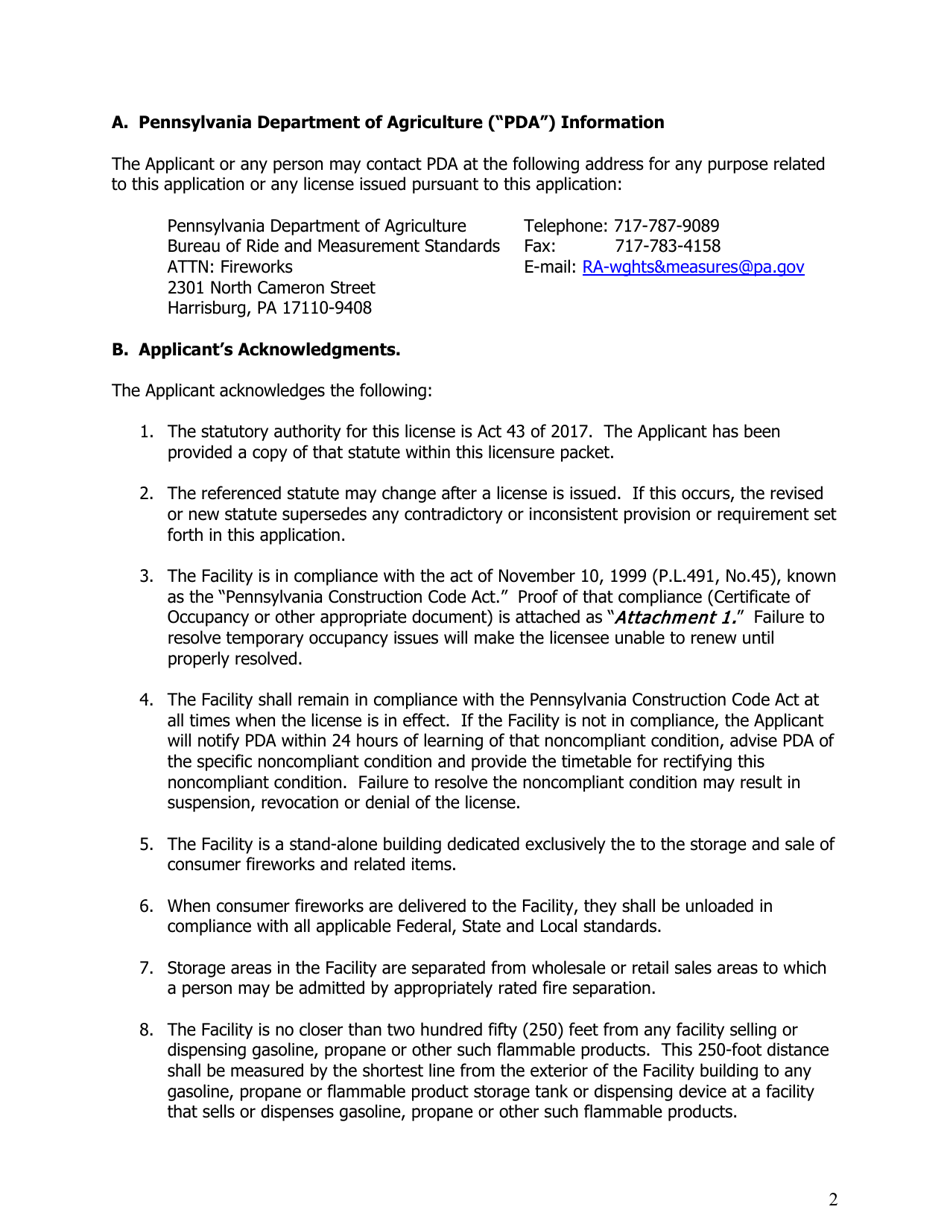
  • Application for Renewal of a Permanent Retail Consumer Fireworks Facility - Pennsylvania, Page 2

    2

  • Application for Renewal of a Permanent Retail Consumer Fireworks Facility - Pennsylvania, Page 3

    3

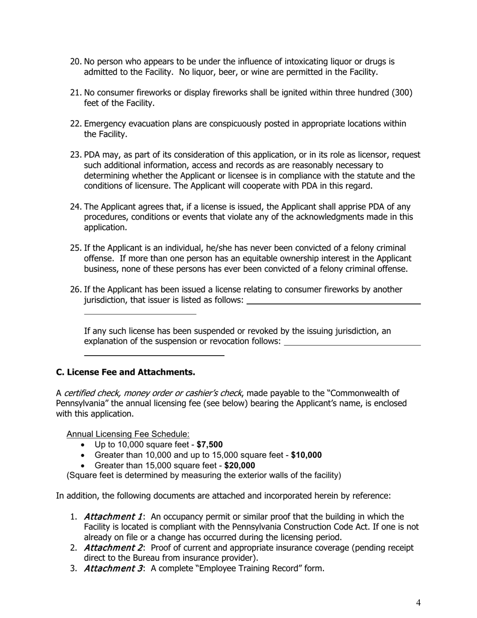
  • Application for Renewal of a Permanent Retail Consumer Fireworks Facility - Pennsylvania, Page 4

    4

  • Application for Renewal of a Permanent Retail Consumer Fireworks Facility - Pennsylvania, Page 5

    5

  • Application for Renewal of a Permanent Retail Consumer Fireworks Facility - Pennsylvania, Page 6

    6

  • Application for Renewal of a Permanent Retail Consumer Fireworks Facility - Pennsylvania, Page 1
  • Application for Renewal of a Permanent Retail Consumer Fireworks Facility - Pennsylvania, Page 2
  • Application for Renewal of a Permanent Retail Consumer Fireworks Facility - Pennsylvania, Page 3
  • Application for Renewal of a Permanent Retail Consumer Fireworks Facility - Pennsylvania, Page 4
  • Application for Renewal of a Permanent Retail Consumer Fireworks Facility - Pennsylvania, Page 5
  • Application for Renewal of a Permanent Retail Consumer Fireworks Facility - Pennsylvania, Page 6
Prev 1 2 3 4 5 6 Next
ADVERTISEMENT

Related Documents