Form 17-11 (BW9-3) Confidentiality Request for Voter Registration Purposes - Texas (English / Spanish)

Form 17-11 (BW9-3) Confidentiality Request for Voter Registration Purposes - Texas (English / Spanish)

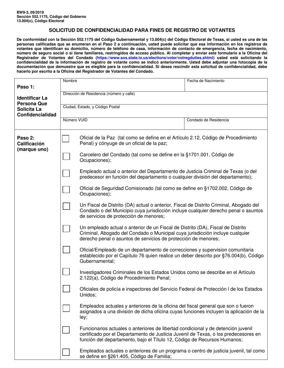
What Is Form 17-11 (BW9-3)?

This is a legal form that was released by the Texas Secretary of State - a government authority operating within Texas. As of today, no separate filing guidelines for the form are provided by the issuing department.

FAQ

Q: What is Form 17-11 (BW9-3)?
A: Form 17-11 (BW9-3) is a request form for confidentiality of voter registration information in Texas.

Q: Why is confidentiality requested for voter registration purposes?
A: Confidentiality is requested to protect voter's personal information from being disclosed.

Q: Can this form be used in both English and Spanish?
A: Yes, this form is available in both English and Spanish.

Q: How can I request confidentiality for my voter registration information in Texas?
A: You can request confidentiality by completing and submitting Form 17-11 (BW9-3).

Q: Is there a deadline to submit this form?
A: There is no specific deadline mentioned for submitting Form 17-11 (BW9-3), but it is recommended to submit it as soon as possible.

Q: Is there a fee required to submit this form?
A: No, there is no fee required to submit Form 17-11 (BW9-3).

Q: Can I request confidentiality for someone else's voter registration information?
A: No, Form 17-11 (BW9-3) can only be used to request confidentiality for your own voter registration information.

Q: What happens once I submit Form 17-11 (BW9-3)?
A: Once you submit the form, your voter registration information will be kept confidential.

Q: Is the confidentiality request permanent?
A: No, the confidentiality request is valid for two years and needs to be renewed after that period.

ADVERTISEMENT

Form Details:

  • Released on September 1, 2019;
  • The latest edition provided by the Texas Secretary of State;
  • Easy to use and ready to print;
  • Quick to customize;
  • Compatible with most PDF-viewing applications;
  • Fill out the form in our online filing application.

Download a fillable version of Form 17-11 (BW9-3) by clicking the link below or browse more documents and templates provided by the Texas Secretary of State.

Download Form 17-11 (BW9-3) Confidentiality Request for Voter Registration Purposes - Texas (English / Spanish)

4.7 of 5 (25 votes)
  • Form 17-11 (BW9-3) Confidentiality Request for Voter Registration Purposes - Texas (English/Spanish)

    1

  • Form 17-11 (BW9-3) Confidentiality Request for Voter Registration Purposes - Texas (English/Spanish), Page 2

    2

  • Form 17-11 (BW9-3) Confidentiality Request for Voter Registration Purposes - Texas (English/Spanish), Page 3

    3

  • Form 17-11 (BW9-3) Confidentiality Request for Voter Registration Purposes - Texas (English/Spanish), Page 4

    4

  • Form 17-11 (BW9-3) Confidentiality Request for Voter Registration Purposes - Texas (English / Spanish), Page 1
  • Form 17-11 (BW9-3) Confidentiality Request for Voter Registration Purposes - Texas (English / Spanish), Page 2
  • Form 17-11 (BW9-3) Confidentiality Request for Voter Registration Purposes - Texas (English / Spanish), Page 3
  • Form 17-11 (BW9-3) Confidentiality Request for Voter Registration Purposes - Texas (English / Spanish), Page 4
Prev 1 2 3 4 Next
ADVERTISEMENT

Related Documents