Application for Medicare Supplement With Prescription Drug Plan - Oklahoma

Application for Medicare Supplement With Prescription Drug Plan - Oklahoma

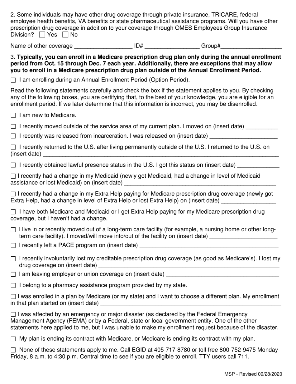
Application for Medicare Supplement With Prescription Drug Plan is a legal document that was released by the Oklahoma Office of Management and Enterprise Services - a government authority operating within Oklahoma.

FAQ

Q: What is Medicare Supplement?
A: A Medicare Supplement, also known as Medigap, is a private insurance plan that helps cover costs not covered by Original Medicare.

Q: What is a Medicare Prescription Drug Plan?
A: A Medicare Prescription Drug Plan (Part D) helps cover the cost of prescription drugs.

Q: What is the purpose of this application?
A: The purpose of this application is to apply for a Medicare Supplement plan with a Prescription Drug Plan (Part D).

Q: Who can apply for this plan?
A: You can apply for this plan if you are enrolled in Original Medicare Part A and Part B and live in Oklahoma.

Q: What information is needed to complete the application?
A: You will need your Medicare card, information about any other insurance coverage you have, and a list of your prescription drugs.

Q: How can I apply?
A: You can apply by filling out the application form and submitting it to the insurance company offering the plan.

Q: When can I apply?
A: You can apply for this plan during the Medicare Initial Enrollment Period or during the Annual Enrollment Period.

Q: What are the costs associated with this plan?
A: The costs of this plan will vary depending on the specific plan you choose. You will have to pay premiums, deductibles, and copayments.

Q: Is there any financial assistance available?
A: Yes, financial assistance is available for those who qualify based on their income and resources.

ADVERTISEMENT

Form Details:

  • Released on September 28, 2020;
  • The latest edition currently provided by the Oklahoma Office of Management and Enterprise Services;
  • Ready to use and print;
  • Easy to customize;
  • Compatible with most PDF-viewing applications;
  • Fill out the form in our online filing application.

Download a printable version of the form by clicking the link below or browse more documents and templates provided by the Oklahoma Office of Management and Enterprise Services.

Download Application for Medicare Supplement With Prescription Drug Plan - Oklahoma

4.4 of 5 (27 votes)
  • Application for Medicare Supplement With Prescription Drug Plan - Oklahoma

    1

  • Application for Medicare Supplement With Prescription Drug Plan - Oklahoma, Page 2

    2

  • Application for Medicare Supplement With Prescription Drug Plan - Oklahoma, Page 3

    3

  • Application for Medicare Supplement With Prescription Drug Plan - Oklahoma, Page 4

    4

  • Application for Medicare Supplement With Prescription Drug Plan - Oklahoma, Page 1
  • Application for Medicare Supplement With Prescription Drug Plan - Oklahoma, Page 2
  • Application for Medicare Supplement With Prescription Drug Plan - Oklahoma, Page 3
  • Application for Medicare Supplement With Prescription Drug Plan - Oklahoma, Page 4
Prev 1 2 3 4 Next
ADVERTISEMENT