South Dakota's Annual Prearranged Funeral Trust Reporting Form - South Dakota

South Dakota's Annual Prearranged Funeral Trust Reporting Form - South Dakota

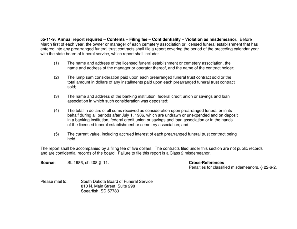
South Dakota's Annual Prearranged Funeral Trust Reporting Form is a legal document that was released by the South Dakota Department of Health - a government authority operating within South Dakota.

FAQ

Q: What is the Annual Prearranged Funeral Trust Reporting Form?
A: The Annual Prearranged Funeral Trust Reporting Form is a document that must be filled out by funeral homes in South Dakota to report information about prearranged funeral trusts.

Q: Why is the Annual Prearranged Funeral Trust Reporting Form required?
A: The form is required to ensure transparency and accountability in the prearranged funeral industry and to protect consumers' funds.

Q: Who needs to fill out the Annual Prearranged Funeral Trust Reporting Form?
A: Funeral homes in South Dakota that offer prearranged funeral services need to fill out this form.

Q: What information is included in the form?
A: The form includes details about the funeral home's prearranged funeral trusts, such as the amount of funds held, the number of contracts, and any changes in the trust's administration.

Q: How often does the form need to be filled out?
A: The form needs to be filled out annually and submitted to the South Dakota Division of Insurance.

ADVERTISEMENT

Form Details:

  • The latest edition currently provided by the South Dakota Department of Health;
  • Ready to use and print;
  • Easy to customize;
  • Compatible with most PDF-viewing applications;
  • Fill out the form in our online filing application.

Download a printable version of the form by clicking the link below or browse more documents and templates provided by the South Dakota Department of Health.

Download South Dakota's Annual Prearranged Funeral Trust Reporting Form - South Dakota

4.5 of 5 (25 votes)
  • South Dakota's Annual Prearranged Funeral Trust Reporting Form - South Dakota

    1

  • South Dakota's Annual Prearranged Funeral Trust Reporting Form - South Dakota, Page 2

    2

  • South Dakotas Annual Prearranged Funeral Trust Reporting Form - South Dakota, Page 1
  • South Dakotas Annual Prearranged Funeral Trust Reporting Form - South Dakota, Page 2
Prev 1 2 Next
ADVERTISEMENT