Report of Investigation (S8011p) - Major General Michael J. Carey

Report of Investigation (S8011p) - Major General Michael J. Carey

Report of Investigation (S8011p) - Major General Michael J. Carey is a 44-page legal document that was released by the U.S. Air Force on October 1, 2013 and used nation-wide.

FAQ

Q: What is the report about?
A: The report is about the investigation of Major General Michael J. Carey.

Q: Who is Major General Michael J. Carey?
A: Major General Michael J. Carey is a military officer.

Q: What was investigated in this report?
A: The report investigated certain actions and behaviors of Major General Michael J. Carey.

Q: What is the conclusion of the investigation?
A: The report does not provide the conclusion of the investigation.

Q: Are there any specific findings in the report?
A: The report may contain specific findings related to the investigation of Major General Michael J. Carey.

Q: Is Major General Michael J. Carey mentioned in any other reports?
A: The report does not mention if Major General Michael J. Carey is mentioned in any other reports.

Q: Why was this investigation conducted?
A: The investigation was conducted to examine the actions and behaviors of Major General Michael J. Carey.

Q: Is there any additional information provided in the report?
A: The report may provide additional information related to the investigation of Major General Michael J. Carey.

Q: Who conducted the investigation?
A: The report does not specify who conducted the investigation.

Q: Is there any disciplinary action mentioned in the report?
A: The report may mention any disciplinary action taken as a result of the investigation.

ADVERTISEMENT

Form Details:

  • The latest edition currently provided by the U.S. Air Force;
  • Ready to use and print;
  • Easy to customize;
  • Compatible with most PDF-viewing applications;
  • Fill out the form in our online filing application.

Download a printable version of the form by clicking the link below or browse more legal forms and templates provided by the issuing department.

Download Report of Investigation (S8011p) - Major General Michael J. Carey

4.7 of 5 (25 votes)
  • Report of Investigation (S8011p) - Major General Michael J. Carey

    1

  • Report of Investigation (S8011p) - Major General Michael J. Carey, Page 2

    2

  • Report of Investigation (S8011p) - Major General Michael J. Carey, Page 3

    3

  • Report of Investigation (S8011p) - Major General Michael J. Carey, Page 4

    4

  • Report of Investigation (S8011p) - Major General Michael J. Carey, Page 5

    5

  • Report of Investigation (S8011p) - Major General Michael J. Carey, Page 6

    6

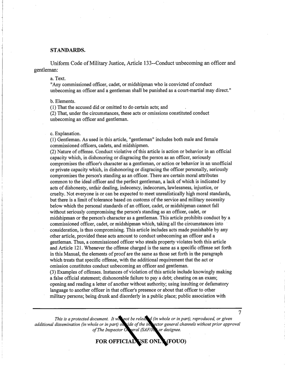
  • Report of Investigation (S8011p) - Major General Michael J. Carey, Page 7

    7

  • Report of Investigation (S8011p) - Major General Michael J. Carey, Page 8

    8

  • Report of Investigation (S8011p) - Major General Michael J. Carey, Page 9

    9

  • Report of Investigation (S8011p) - Major General Michael J. Carey, Page 10

    10

  • Report of Investigation (S8011p) - Major General Michael J. Carey, Page 11

    11

  • Report of Investigation (S8011p) - Major General Michael J. Carey, Page 12

    12

  • Report of Investigation (S8011p) - Major General Michael J. Carey, Page 13

    13

  • Report of Investigation (S8011p) - Major General Michael J. Carey, Page 14

    14

  • Report of Investigation (S8011p) - Major General Michael J. Carey, Page 15

    15

  • Report of Investigation (S8011p) - Major General Michael J. Carey, Page 16

    16

  • Report of Investigation (S8011p) - Major General Michael J. Carey, Page 17

    17

  • Report of Investigation (S8011p) - Major General Michael J. Carey, Page 18

    18

  • Report of Investigation (S8011p) - Major General Michael J. Carey, Page 19

    19

  • Report of Investigation (S8011p) - Major General Michael J. Carey, Page 20

    20

  • Report of Investigation (S8011p) - Major General Michael J. Carey, Page 21

    21

  • Report of Investigation (S8011p) - Major General Michael J. Carey, Page 22

    22

  • Report of Investigation (S8011p) - Major General Michael J. Carey, Page 23

    23

  • Report of Investigation (S8011p) - Major General Michael J. Carey, Page 24

    24

  • Report of Investigation (S8011p) - Major General Michael J. Carey, Page 25

    25

  • Report of Investigation (S8011p) - Major General Michael J. Carey, Page 26

    26

  • Report of Investigation (S8011p) - Major General Michael J. Carey, Page 27

    27

  • Report of Investigation (S8011p) - Major General Michael J. Carey, Page 28

    28

  • Report of Investigation (S8011p) - Major General Michael J. Carey, Page 29

    29

  • Report of Investigation (S8011p) - Major General Michael J. Carey, Page 30

    30

  • Report of Investigation (S8011p) - Major General Michael J. Carey, Page 31

    31

  • Report of Investigation (S8011p) - Major General Michael J. Carey, Page 32

    32

  • Report of Investigation (S8011p) - Major General Michael J. Carey, Page 33

    33

  • Report of Investigation (S8011p) - Major General Michael J. Carey, Page 34

    34

  • Report of Investigation (S8011p) - Major General Michael J. Carey, Page 35

    35

  • Report of Investigation (S8011p) - Major General Michael J. Carey, Page 36

    36

  • Report of Investigation (S8011p) - Major General Michael J. Carey, Page 37

    37

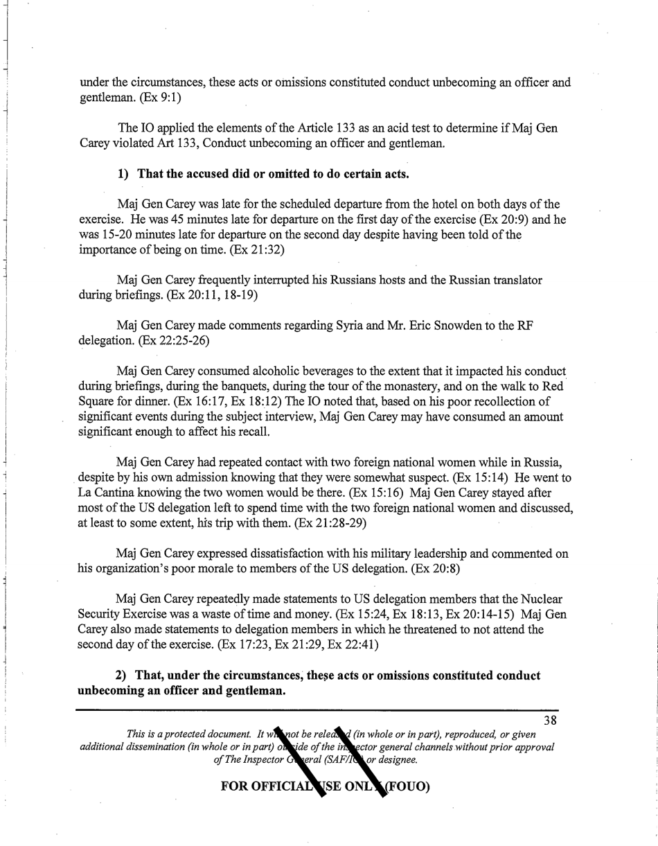
  • Report of Investigation (S8011p) - Major General Michael J. Carey, Page 38

    38

  • Report of Investigation (S8011p) - Major General Michael J. Carey, Page 39

    39

  • Report of Investigation (S8011p) - Major General Michael J. Carey, Page 40

    40

  • Report of Investigation (S8011p) - Major General Michael J. Carey, Page 41

    41

  • Report of Investigation (S8011p) - Major General Michael J. Carey, Page 42

    42

  • Report of Investigation (S8011p) - Major General Michael J. Carey, Page 43

    43

  • Report of Investigation (S8011p) - Major General Michael J. Carey, Page 44

    44

  • Report of Investigation (S8011p) - Major General Michael J. Carey, Page 1
  • Report of Investigation (S8011p) - Major General Michael J. Carey, Page 2
  • Report of Investigation (S8011p) - Major General Michael J. Carey, Page 3
  • Report of Investigation (S8011p) - Major General Michael J. Carey, Page 4
  • Report of Investigation (S8011p) - Major General Michael J. Carey, Page 5
  • Report of Investigation (S8011p) - Major General Michael J. Carey, Page 6
  • Report of Investigation (S8011p) - Major General Michael J. Carey, Page 7
  • Report of Investigation (S8011p) - Major General Michael J. Carey, Page 8
  • Report of Investigation (S8011p) - Major General Michael J. Carey, Page 9
  • Report of Investigation (S8011p) - Major General Michael J. Carey, Page 10
  • Report of Investigation (S8011p) - Major General Michael J. Carey, Page 11
  • Report of Investigation (S8011p) - Major General Michael J. Carey, Page 12
  • Report of Investigation (S8011p) - Major General Michael J. Carey, Page 13
  • Report of Investigation (S8011p) - Major General Michael J. Carey, Page 14
  • Report of Investigation (S8011p) - Major General Michael J. Carey, Page 15
  • Report of Investigation (S8011p) - Major General Michael J. Carey, Page 16
  • Report of Investigation (S8011p) - Major General Michael J. Carey, Page 17
  • Report of Investigation (S8011p) - Major General Michael J. Carey, Page 18
  • Report of Investigation (S8011p) - Major General Michael J. Carey, Page 19
  • Report of Investigation (S8011p) - Major General Michael J. Carey, Page 20
  • Report of Investigation (S8011p) - Major General Michael J. Carey, Page 21
  • Report of Investigation (S8011p) - Major General Michael J. Carey, Page 22
  • Report of Investigation (S8011p) - Major General Michael J. Carey, Page 23
  • Report of Investigation (S8011p) - Major General Michael J. Carey, Page 24
  • Report of Investigation (S8011p) - Major General Michael J. Carey, Page 25
  • Report of Investigation (S8011p) - Major General Michael J. Carey, Page 26
  • Report of Investigation (S8011p) - Major General Michael J. Carey, Page 27
  • Report of Investigation (S8011p) - Major General Michael J. Carey, Page 28
  • Report of Investigation (S8011p) - Major General Michael J. Carey, Page 29
  • Report of Investigation (S8011p) - Major General Michael J. Carey, Page 30
  • Report of Investigation (S8011p) - Major General Michael J. Carey, Page 31
  • Report of Investigation (S8011p) - Major General Michael J. Carey, Page 32
  • Report of Investigation (S8011p) - Major General Michael J. Carey, Page 33
  • Report of Investigation (S8011p) - Major General Michael J. Carey, Page 34
  • Report of Investigation (S8011p) - Major General Michael J. Carey, Page 35
  • Report of Investigation (S8011p) - Major General Michael J. Carey, Page 36
  • Report of Investigation (S8011p) - Major General Michael J. Carey, Page 37
  • Report of Investigation (S8011p) - Major General Michael J. Carey, Page 38
  • Report of Investigation (S8011p) - Major General Michael J. Carey, Page 39
  • Report of Investigation (S8011p) - Major General Michael J. Carey, Page 40
  • Report of Investigation (S8011p) - Major General Michael J. Carey, Page 41
  • Report of Investigation (S8011p) - Major General Michael J. Carey, Page 42
  • Report of Investigation (S8011p) - Major General Michael J. Carey, Page 43
  • Report of Investigation (S8011p) - Major General Michael J. Carey, Page 44
Prev 1 2 3 4 5 ... 44 Next
ADVERTISEMENT