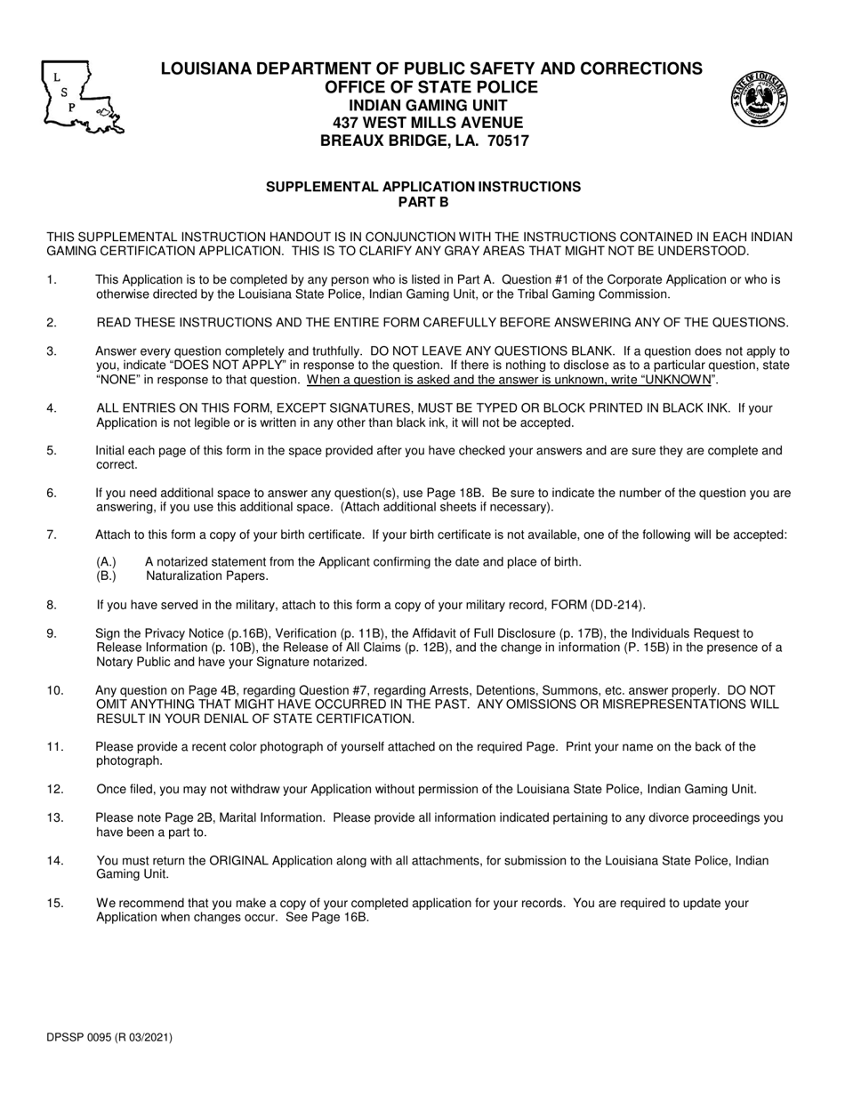
Form DPSSP0095 Part B Indian Gaming Unit Corporate Certification Application Individual Personal History - Louisiana

Notification Icon This version of the form is not currently in use and is provided for reference only. Download this version of Form DPSSP0095 Part B for the current year.

Form DPSSP0095 Part B Indian Gaming Unit Corporate Certification Application Individual Personal History - Louisiana

What Is Form DPSSP0095 Part B?

This is a legal form that was released by the Louisiana Department of Public Safety & Corrections - a government authority operating within Louisiana. As of today, no separate filing guidelines for the form are provided by the issuing department.

Form Details:

  • Released on March 1, 2021;
  • The latest edition provided by the Louisiana Department of Public Safety & Corrections;
  • Easy to use and ready to print;
  • Quick to customize;
  • Compatible with most PDF-viewing applications;
  • Fill out the form in our online filing application.

Download a printable version of Form DPSSP0095 Part B by clicking the link below or browse more documents and templates provided by the Louisiana Department of Public Safety & Corrections.

ADVERTISEMENT

Download Form DPSSP0095 Part B Indian Gaming Unit Corporate Certification Application Individual Personal History - Louisiana

4.7 of 5 (10 votes)
  • Form DPSSP0095 Part B Indian Gaming Unit Corporate Certification Application Individual Personal History - Louisiana

    1

  • Form DPSSP0095 Part B Indian Gaming Unit Corporate Certification Application Individual Personal History - Louisiana, Page 2

    2

  • Form DPSSP0095 Part B Indian Gaming Unit Corporate Certification Application Individual Personal History - Louisiana, Page 3

    3

  • Form DPSSP0095 Part B Indian Gaming Unit Corporate Certification Application Individual Personal History - Louisiana, Page 4

    4

  • Form DPSSP0095 Part B Indian Gaming Unit Corporate Certification Application Individual Personal History - Louisiana, Page 5

    5

  • Form DPSSP0095 Part B Indian Gaming Unit Corporate Certification Application Individual Personal History - Louisiana, Page 6

    6

  • Form DPSSP0095 Part B Indian Gaming Unit Corporate Certification Application Individual Personal History - Louisiana, Page 7

    7

  • Form DPSSP0095 Part B Indian Gaming Unit Corporate Certification Application Individual Personal History - Louisiana, Page 8

    8

  • Form DPSSP0095 Part B Indian Gaming Unit Corporate Certification Application Individual Personal History - Louisiana, Page 9

    9

  • Form DPSSP0095 Part B Indian Gaming Unit Corporate Certification Application Individual Personal History - Louisiana, Page 10

    10

  • Form DPSSP0095 Part B Indian Gaming Unit Corporate Certification Application Individual Personal History - Louisiana, Page 11

    11

  • Form DPSSP0095 Part B Indian Gaming Unit Corporate Certification Application Individual Personal History - Louisiana, Page 12

    12

  • Form DPSSP0095 Part B Indian Gaming Unit Corporate Certification Application Individual Personal History - Louisiana, Page 13

    13

  • Form DPSSP0095 Part B Indian Gaming Unit Corporate Certification Application Individual Personal History - Louisiana, Page 14

    14

  • Form DPSSP0095 Part B Indian Gaming Unit Corporate Certification Application Individual Personal History - Louisiana, Page 15

    15

  • Form DPSSP0095 Part B Indian Gaming Unit Corporate Certification Application Individual Personal History - Louisiana, Page 16

    16

  • Form DPSSP0095 Part B Indian Gaming Unit Corporate Certification Application Individual Personal History - Louisiana, Page 17

    17

  • Form DPSSP0095 Part B Indian Gaming Unit Corporate Certification Application Individual Personal History - Louisiana, Page 18

    18

  • Form DPSSP0095 Part B Indian Gaming Unit Corporate Certification Application Individual Personal History - Louisiana, Page 19

    19

  • Form DPSSP0095 Part B Indian Gaming Unit Corporate Certification Application Individual Personal History - Louisiana, Page 20

    20

  • Form DPSSP0095 Part B Indian Gaming Unit Corporate Certification Application Individual Personal History - Louisiana, Page 21

    21

  • Form DPSSP0095 Part B Indian Gaming Unit Corporate Certification Application Individual Personal History - Louisiana, Page 22

    22

  • Form DPSSP0095 Part B Indian Gaming Unit Corporate Certification Application Individual Personal History - Louisiana, Page 1
  • Form DPSSP0095 Part B Indian Gaming Unit Corporate Certification Application Individual Personal History - Louisiana, Page 2
  • Form DPSSP0095 Part B Indian Gaming Unit Corporate Certification Application Individual Personal History - Louisiana, Page 3
  • Form DPSSP0095 Part B Indian Gaming Unit Corporate Certification Application Individual Personal History - Louisiana, Page 4
  • Form DPSSP0095 Part B Indian Gaming Unit Corporate Certification Application Individual Personal History - Louisiana, Page 5
  • Form DPSSP0095 Part B Indian Gaming Unit Corporate Certification Application Individual Personal History - Louisiana, Page 6
  • Form DPSSP0095 Part B Indian Gaming Unit Corporate Certification Application Individual Personal History - Louisiana, Page 7
  • Form DPSSP0095 Part B Indian Gaming Unit Corporate Certification Application Individual Personal History - Louisiana, Page 8
  • Form DPSSP0095 Part B Indian Gaming Unit Corporate Certification Application Individual Personal History - Louisiana, Page 9
  • Form DPSSP0095 Part B Indian Gaming Unit Corporate Certification Application Individual Personal History - Louisiana, Page 10
  • Form DPSSP0095 Part B Indian Gaming Unit Corporate Certification Application Individual Personal History - Louisiana, Page 11
  • Form DPSSP0095 Part B Indian Gaming Unit Corporate Certification Application Individual Personal History - Louisiana, Page 12
  • Form DPSSP0095 Part B Indian Gaming Unit Corporate Certification Application Individual Personal History - Louisiana, Page 13
  • Form DPSSP0095 Part B Indian Gaming Unit Corporate Certification Application Individual Personal History - Louisiana, Page 14
  • Form DPSSP0095 Part B Indian Gaming Unit Corporate Certification Application Individual Personal History - Louisiana, Page 15
  • Form DPSSP0095 Part B Indian Gaming Unit Corporate Certification Application Individual Personal History - Louisiana, Page 16
  • Form DPSSP0095 Part B Indian Gaming Unit Corporate Certification Application Individual Personal History - Louisiana, Page 17
  • Form DPSSP0095 Part B Indian Gaming Unit Corporate Certification Application Individual Personal History - Louisiana, Page 18
  • Form DPSSP0095 Part B Indian Gaming Unit Corporate Certification Application Individual Personal History - Louisiana, Page 19
  • Form DPSSP0095 Part B Indian Gaming Unit Corporate Certification Application Individual Personal History - Louisiana, Page 20
  • Form DPSSP0095 Part B Indian Gaming Unit Corporate Certification Application Individual Personal History - Louisiana, Page 21
  • Form DPSSP0095 Part B Indian Gaming Unit Corporate Certification Application Individual Personal History - Louisiana, Page 22
Prev 1 2 3 4 5 ... 22 Next
ADVERTISEMENT