DNR Form B-111 Instructions - Mechanics Lien Process - Vessels - Maryland

DNR Form B-111 Instructions - Mechanics Lien Process - Vessels - Maryland

What Is DNR Form B-111?

This is a legal form that was released by the Maryland Department of Natural Resources - a government authority operating within Maryland. As of today, no separate filing guidelines for the form are provided by the issuing department.

FAQ

Q: What is a DNR Form B-111?
A: DNR Form B-111 is a form used in Maryland for the mechanics lien process for vessels.

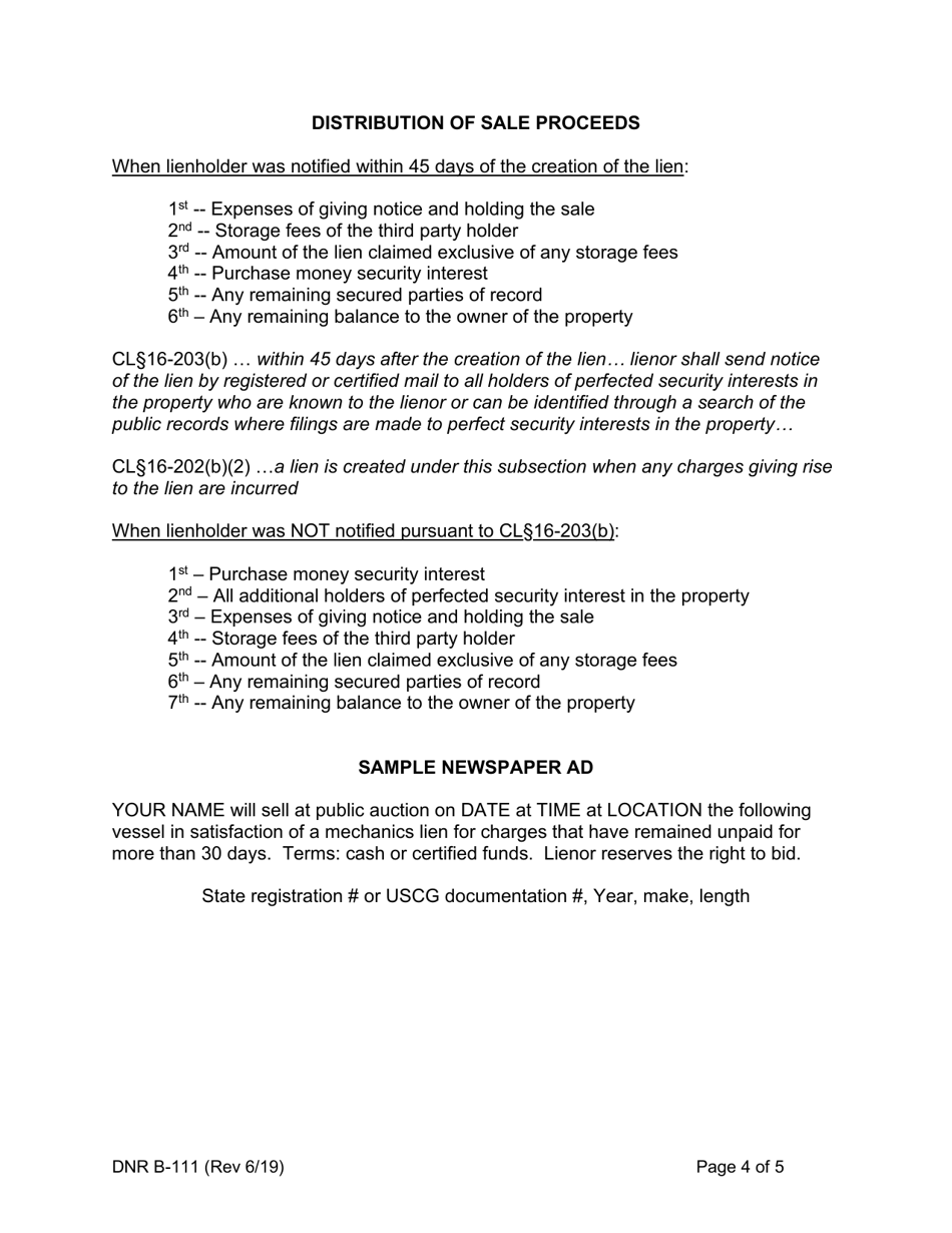
Q: What is the mechanics lien process for vessels in Maryland?
A: The mechanics lien process for vessels in Maryland involves filing a DNR Form B-111 with the Department of Natural Resources.

Q: What is the purpose of a mechanics lien?
A: A mechanics lien is a legal claim that can be filed by contractors, suppliers, or other parties who have provided labor or materials for a construction project and have not been paid.

Q: Who can file a mechanics lien for vessels in Maryland?
A: Contractors, suppliers, or other parties who have provided labor or materials for a vessel in Maryland can file a mechanics lien.

Q: What is the role of DNR in the mechanics lien process for vessels in Maryland?
A: The Department of Natural Resources (DNR) in Maryland handles the mechanics lien process for vessels by receiving and processing the DNR Form B-111.

Q: What information is required in the DNR Form B-111?
A: The DNR Form B-111 requires information such as the name and contact information of the claimant, the name and contact information of the vessel owner, a description of the services or materials provided, and the amount claimed.

Q: Is there a deadline for filing a mechanics lien for vessels in Maryland?
A: Yes, there is a deadline for filing a mechanics lien for vessels in Maryland. The DNR Form B-111 must be filed within 180 days from the date the services or materials were last provided.

ADVERTISEMENT

Form Details:

  • Released on June 1, 2019;
  • The latest edition provided by the Maryland Department of Natural Resources;
  • Easy to use and ready to print;
  • Quick to customize;
  • Compatible with most PDF-viewing applications;
  • Fill out the form in our online filing application.

Download a printable version of DNR Form B-111 by clicking the link below or browse more documents and templates provided by the Maryland Department of Natural Resources.

Download DNR Form B-111 Instructions - Mechanics Lien Process - Vessels - Maryland

4.8 of 5 (10 votes)
  • DNR Form B-111 Instructions - Mechanics Lien Process - Vessels - Maryland

    1

  • DNR Form B-111 Instructions - Mechanics Lien Process - Vessels - Maryland, Page 2

    2

  • DNR Form B-111 Instructions - Mechanics Lien Process - Vessels - Maryland, Page 3

    3

  • DNR Form B-111 Instructions - Mechanics Lien Process - Vessels - Maryland, Page 4

    4

  • DNR Form B-111 Instructions - Mechanics Lien Process - Vessels - Maryland, Page 5

    5

  • DNR Form B-111 Instructions - Mechanics Lien Process - Vessels - Maryland, Page 1
  • DNR Form B-111 Instructions - Mechanics Lien Process - Vessels - Maryland, Page 2
  • DNR Form B-111 Instructions - Mechanics Lien Process - Vessels - Maryland, Page 3
  • DNR Form B-111 Instructions - Mechanics Lien Process - Vessels - Maryland, Page 4
  • DNR Form B-111 Instructions - Mechanics Lien Process - Vessels - Maryland, Page 5
Prev 1 2 3 4 5 Next
ADVERTISEMENT