Form ISD / CCPEB-052 Application for Accreditation of Verification Bodies for Offset Project Data Reports - California

Form ISD / CCPEB-052 Application for Accreditation of Verification Bodies for Offset Project Data Reports - California

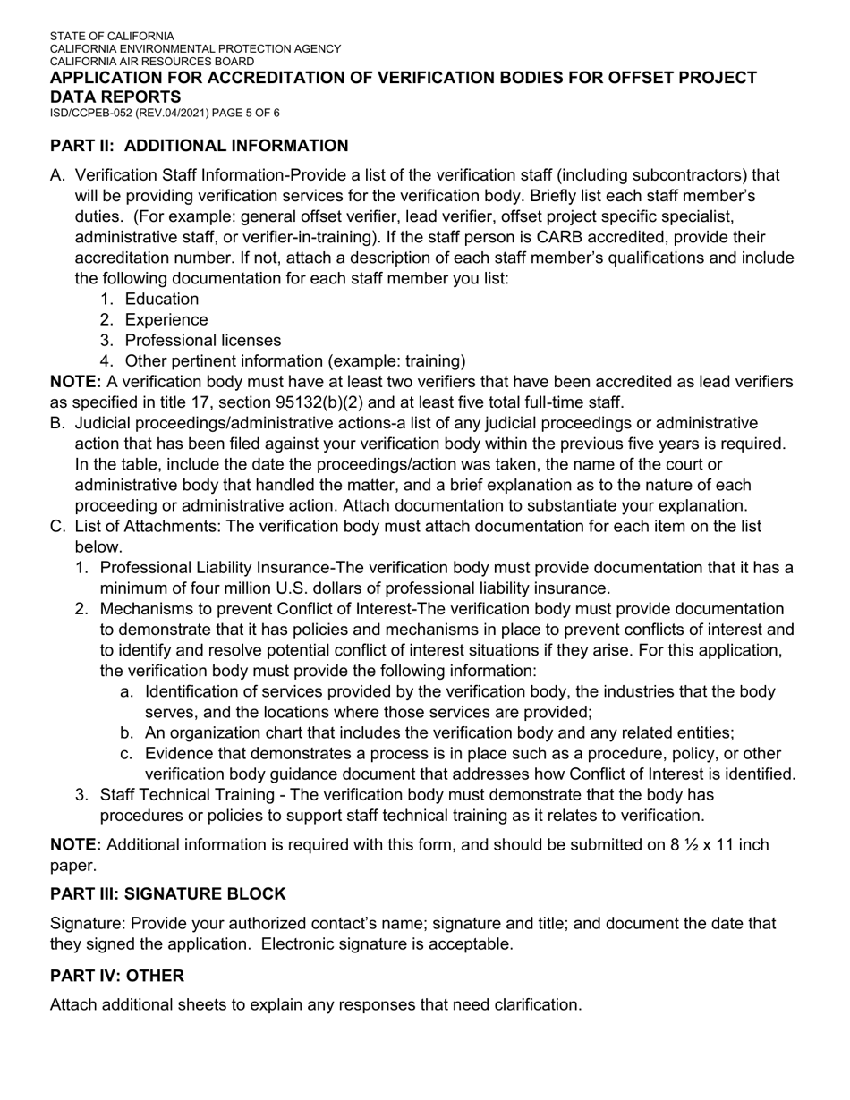
What Is Form ISD/CCPEB-052?

This is a legal form that was released by the California Air Resources Board - a government authority operating within California. As of today, no separate filing guidelines for the form are provided by the issuing department.

FAQ

Q: What is Form ISD/CCPEB-052?
A: Form ISD/CCPEB-052 is the application for accreditation of Verification Bodies for Offset Project Data Reports in California.

Q: What is the purpose of Form ISD/CCPEB-052?
A: The purpose of Form ISD/CCPEB-052 is to apply for accreditation as a Verification Body for Offset Project Data Reports in California.

Q: Who needs to fill out Form ISD/CCPEB-052?
A: Verification Bodies seeking accreditation for Offset Project Data Reports in California need to fill out Form ISD/CCPEB-052.

Q: Are there any fees associated with Form ISD/CCPEB-052?
A: Yes, there are fees associated with the application for accreditation as a Verification Body for Offset Project Data Reports in California. Please refer to the instructions on the form for more information.

Q: What is the deadline for submitting Form ISD/CCPEB-052?
A: The deadline for submitting Form ISD/CCPEB-052 varies. Please refer to the instructions on the form for the specific deadline.

Q: What supporting documents do I need to include with Form ISD/CCPEB-052?
A: You will need to include supporting documents as outlined in the instructions on the form. These may include proof of accreditation, sample verification reports, and other relevant documents.

Q: How long does the accreditation process take?
A: The length of the accreditation process can vary. Please refer to the instructions on the form or contact CARB for more information.

Q: Who can I contact for more information about Form ISD/CCPEB-052?
A: For more information about Form ISD/CCPEB-052 and the accreditation process, you can contact the California Air Resources Board (CARB).

ADVERTISEMENT

Form Details:

  • Released on April 1, 2021;
  • The latest edition provided by the California Air Resources Board;
  • Easy to use and ready to print;
  • Quick to customize;
  • Compatible with most PDF-viewing applications;
  • Fill out the form in our online filing application.

Download a fillable version of Form ISD/CCPEB-052 by clicking the link below or browse more documents and templates provided by the California Air Resources Board.

Download Form ISD / CCPEB-052 Application for Accreditation of Verification Bodies for Offset Project Data Reports - California

4.8 of 5 (30 votes)
  • Form ISD/CCPEB-052 Application for Accreditation of Verification Bodies for Offset Project Data Reports - California

    1

  • Form ISD/CCPEB-052 Application for Accreditation of Verification Bodies for Offset Project Data Reports - California, Page 2

    2

  • Form ISD/CCPEB-052 Application for Accreditation of Verification Bodies for Offset Project Data Reports - California, Page 3

    3

  • Form ISD/CCPEB-052 Application for Accreditation of Verification Bodies for Offset Project Data Reports - California, Page 4

    4

  • Form ISD/CCPEB-052 Application for Accreditation of Verification Bodies for Offset Project Data Reports - California, Page 5

    5

  • Form ISD/CCPEB-052 Application for Accreditation of Verification Bodies for Offset Project Data Reports - California, Page 6

    6

  • Form ISD / CCPEB-052 Application for Accreditation of Verification Bodies for Offset Project Data Reports - California, Page 1
  • Form ISD / CCPEB-052 Application for Accreditation of Verification Bodies for Offset Project Data Reports - California, Page 2
  • Form ISD / CCPEB-052 Application for Accreditation of Verification Bodies for Offset Project Data Reports - California, Page 3
  • Form ISD / CCPEB-052 Application for Accreditation of Verification Bodies for Offset Project Data Reports - California, Page 4
  • Form ISD / CCPEB-052 Application for Accreditation of Verification Bodies for Offset Project Data Reports - California, Page 5
  • Form ISD / CCPEB-052 Application for Accreditation of Verification Bodies for Offset Project Data Reports - California, Page 6
Prev 1 2 3 4 5 6 Next
ADVERTISEMENT

Related Documents