Form 6434 Pre-retirement Qualified Domestic Relations Order for Division of Marital Property - Kentucky

Form 6434 Pre-retirement Qualified Domestic Relations Order for Division of Marital Property - Kentucky

What Is Form 6434?

This is a legal form that was released by the Kentucky Public Pensions Authority - a government authority operating within Kentucky. As of today, no separate filing guidelines for the form are provided by the issuing department.

FAQ

Q: What is Form 6434?
A: Form 6434 is a Pre-retirement Qualified Domestic Relations Order for Division of Marital Property.

Q: What is the purpose of Form 6434?
A: The purpose of Form 6434 is to divide marital property in a pre-retirement situation.

Q: Who should use Form 6434?
A: Form 6434 is for individuals who need to divide marital property in a pre-retirement situation in Kentucky.

Q: Is Form 6434 specific to Kentucky?
A: Yes, Form 6434 is specific to Kentucky.

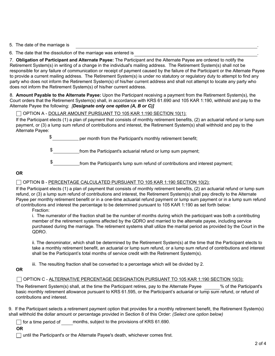
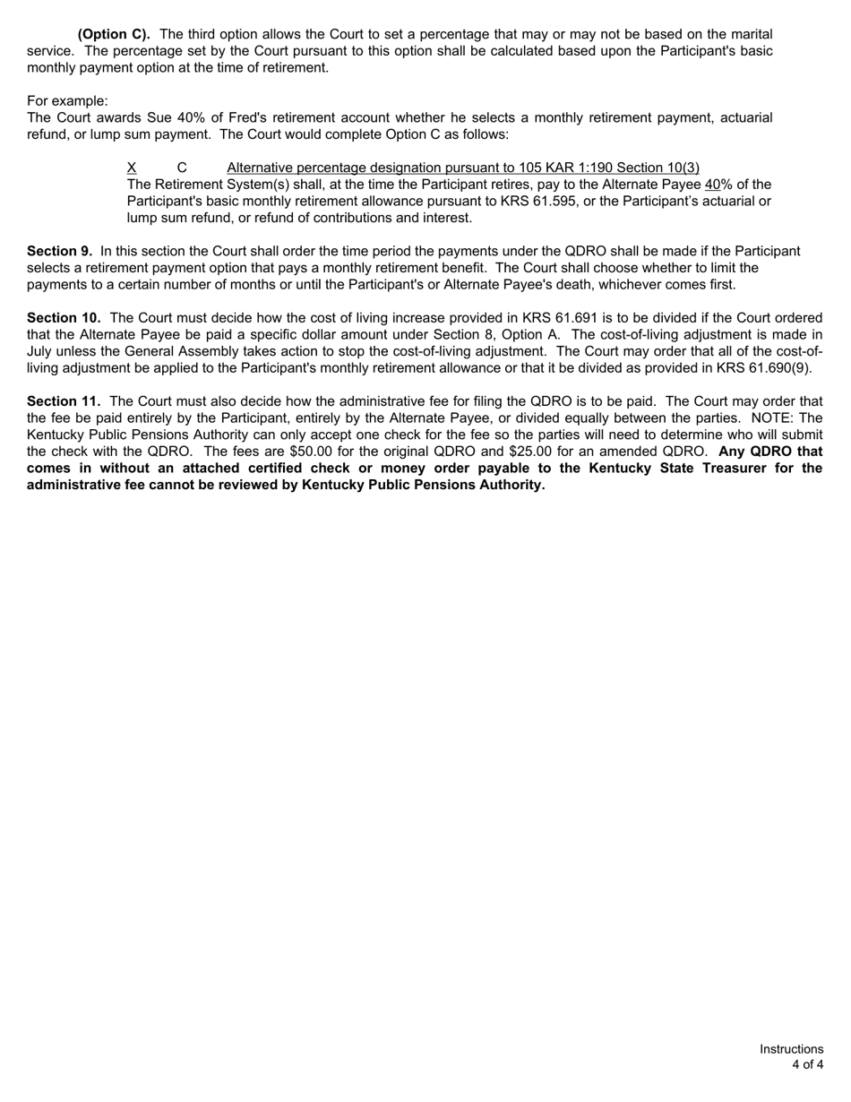
Q: What is a Qualified Domestic Relations Order (QDRO)?
A: A Qualified Domestic Relations Order (QDRO) is a legal order that divides retirement assets between divorcing spouses.

ADVERTISEMENT

Form Details:

  • Released on April 1, 2021;
  • The latest edition provided by the Kentucky Public Pensions Authority;
  • Easy to use and ready to print;
  • Quick to customize;
  • Compatible with most PDF-viewing applications;
  • Fill out the form in our online filing application.

Download a fillable version of Form 6434 by clicking the link below or browse more documents and templates provided by the Kentucky Public Pensions Authority.

Download Form 6434 Pre-retirement Qualified Domestic Relations Order for Division of Marital Property - Kentucky

4.6 of 5 (21 votes)
  • Form 6434 Pre-retirement Qualified Domestic Relations Order for Division of Marital Property - Kentucky

    1

  • Form 6434 Pre-retirement Qualified Domestic Relations Order for Division of Marital Property - Kentucky, Page 2

    2

  • Form 6434 Pre-retirement Qualified Domestic Relations Order for Division of Marital Property - Kentucky, Page 3

    3

  • Form 6434 Pre-retirement Qualified Domestic Relations Order for Division of Marital Property - Kentucky, Page 4

    4

  • Form 6434 Pre-retirement Qualified Domestic Relations Order for Division of Marital Property - Kentucky, Page 5

    5

  • Form 6434 Pre-retirement Qualified Domestic Relations Order for Division of Marital Property - Kentucky, Page 6

    6

  • Form 6434 Pre-retirement Qualified Domestic Relations Order for Division of Marital Property - Kentucky, Page 7

    7

  • Form 6434 Pre-retirement Qualified Domestic Relations Order for Division of Marital Property - Kentucky, Page 8

    8

  • Form 6434 Pre-retirement Qualified Domestic Relations Order for Division of Marital Property - Kentucky, Page 9

    9

  • Form 6434 Pre-retirement Qualified Domestic Relations Order for Division of Marital Property - Kentucky, Page 1
  • Form 6434 Pre-retirement Qualified Domestic Relations Order for Division of Marital Property - Kentucky, Page 2
  • Form 6434 Pre-retirement Qualified Domestic Relations Order for Division of Marital Property - Kentucky, Page 3
  • Form 6434 Pre-retirement Qualified Domestic Relations Order for Division of Marital Property - Kentucky, Page 4
  • Form 6434 Pre-retirement Qualified Domestic Relations Order for Division of Marital Property - Kentucky, Page 5
  • Form 6434 Pre-retirement Qualified Domestic Relations Order for Division of Marital Property - Kentucky, Page 6
  • Form 6434 Pre-retirement Qualified Domestic Relations Order for Division of Marital Property - Kentucky, Page 7
  • Form 6434 Pre-retirement Qualified Domestic Relations Order for Division of Marital Property - Kentucky, Page 8
  • Form 6434 Pre-retirement Qualified Domestic Relations Order for Division of Marital Property - Kentucky, Page 9
Prev 1 2 3 4 5 ... 9 Next
ADVERTISEMENT