Form 6435 Post-retirement Qualified Domestic Relations Order for Division of Marital Property - Kentucky

Form 6435 Post-retirement Qualified Domestic Relations Order for Division of Marital Property - Kentucky

What Is Form 6435?

This is a legal form that was released by the Kentucky Public Pensions Authority - a government authority operating within Kentucky. As of today, no separate filing guidelines for the form are provided by the issuing department.

FAQ

Q: What is Form 6435?
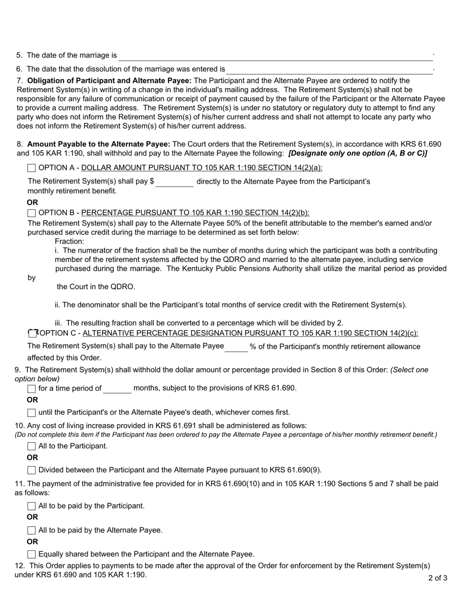
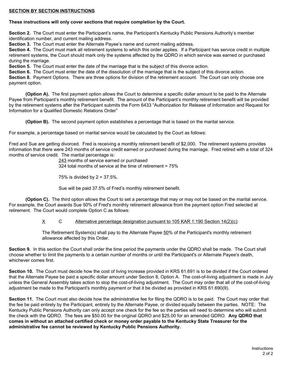
A: Form 6435 is a Post-retirement Qualified Domestic Relations Order (QDRO) for the division of marital property in Kentucky.

Q: What is a Qualified Domestic Relations Order (QDRO)?
A: A Qualified Domestic Relations Order (QDRO) is a court order that establishes the right of an alternate payee to receive all or a portion of the retirement benefits payable to a participant in a retirement plan.

Q: What is the purpose of Form 6435?
A: The purpose of Form 6435 is to provide a process for dividing retirement benefits as part of a divorce or separation.

Q: Who needs to fill out Form 6435?
A: Form 6435 needs to be filled out by the participant in a retirement plan and their former spouse or domestic partner.

Q: What information is required on Form 6435?
A: Form 6435 requires information such as the names and addresses of the participant and alternate payee, the details of the retirement plan, and the specific division of benefits.

Q: Are there any fees associated with filing Form 6435?
A: There may be filing fees associated with submitting Form 6435. You should contact the court or consult with your attorney to determine the applicable fees.

Q: What should I do with Form 6435 after it is completed?
A: After completing Form 6435, you should file it with the appropriate court and send a copy to the retirement plan administrator.

ADVERTISEMENT

Form Details:

  • Released on April 1, 2021;
  • The latest edition provided by the Kentucky Public Pensions Authority;
  • Easy to use and ready to print;
  • Quick to customize;
  • Compatible with most PDF-viewing applications;
  • Fill out the form in our online filing application.

Download a fillable version of Form 6435 by clicking the link below or browse more documents and templates provided by the Kentucky Public Pensions Authority.

Download Form 6435 Post-retirement Qualified Domestic Relations Order for Division of Marital Property - Kentucky

4.6 of 5 (16 votes)
  • Form 6435 Post-retirement Qualified Domestic Relations Order for Division of Marital Property - Kentucky

    1

  • Form 6435 Post-retirement Qualified Domestic Relations Order for Division of Marital Property - Kentucky, Page 2

    2

  • Form 6435 Post-retirement Qualified Domestic Relations Order for Division of Marital Property - Kentucky, Page 3

    3

  • Form 6435 Post-retirement Qualified Domestic Relations Order for Division of Marital Property - Kentucky, Page 4

    4

  • Form 6435 Post-retirement Qualified Domestic Relations Order for Division of Marital Property - Kentucky, Page 5

    5

  • Form 6435 Post-retirement Qualified Domestic Relations Order for Division of Marital Property - Kentucky, Page 6

    6

  • Form 6435 Post-retirement Qualified Domestic Relations Order for Division of Marital Property - Kentucky, Page 1
  • Form 6435 Post-retirement Qualified Domestic Relations Order for Division of Marital Property - Kentucky, Page 2
  • Form 6435 Post-retirement Qualified Domestic Relations Order for Division of Marital Property - Kentucky, Page 3
  • Form 6435 Post-retirement Qualified Domestic Relations Order for Division of Marital Property - Kentucky, Page 4
  • Form 6435 Post-retirement Qualified Domestic Relations Order for Division of Marital Property - Kentucky, Page 5
  • Form 6435 Post-retirement Qualified Domestic Relations Order for Division of Marital Property - Kentucky, Page 6
Prev 1 2 3 4 5 6 Next
ADVERTISEMENT