Agency License - Renewal Application - Kansas

Notification Icon This version of the form is not currently in use and is provided for reference only. Download this version of the document for the current year.

Agency License - Renewal Application - Kansas

Agency License - Renewal Application is a legal document that was released by the Kansas Attorney General's Office - a government authority operating within Kansas.

FAQ

Q: How do I renew my agency license in Kansas?
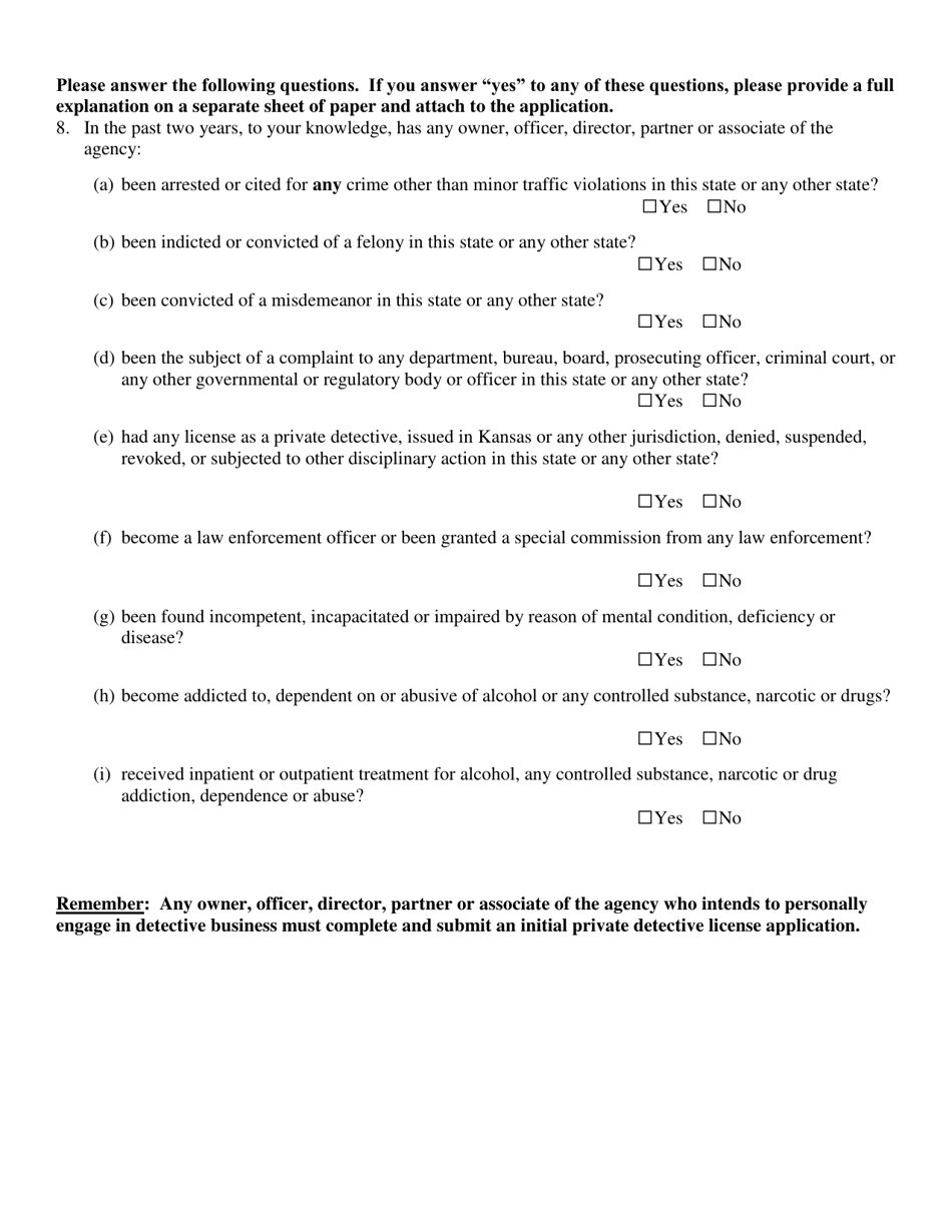
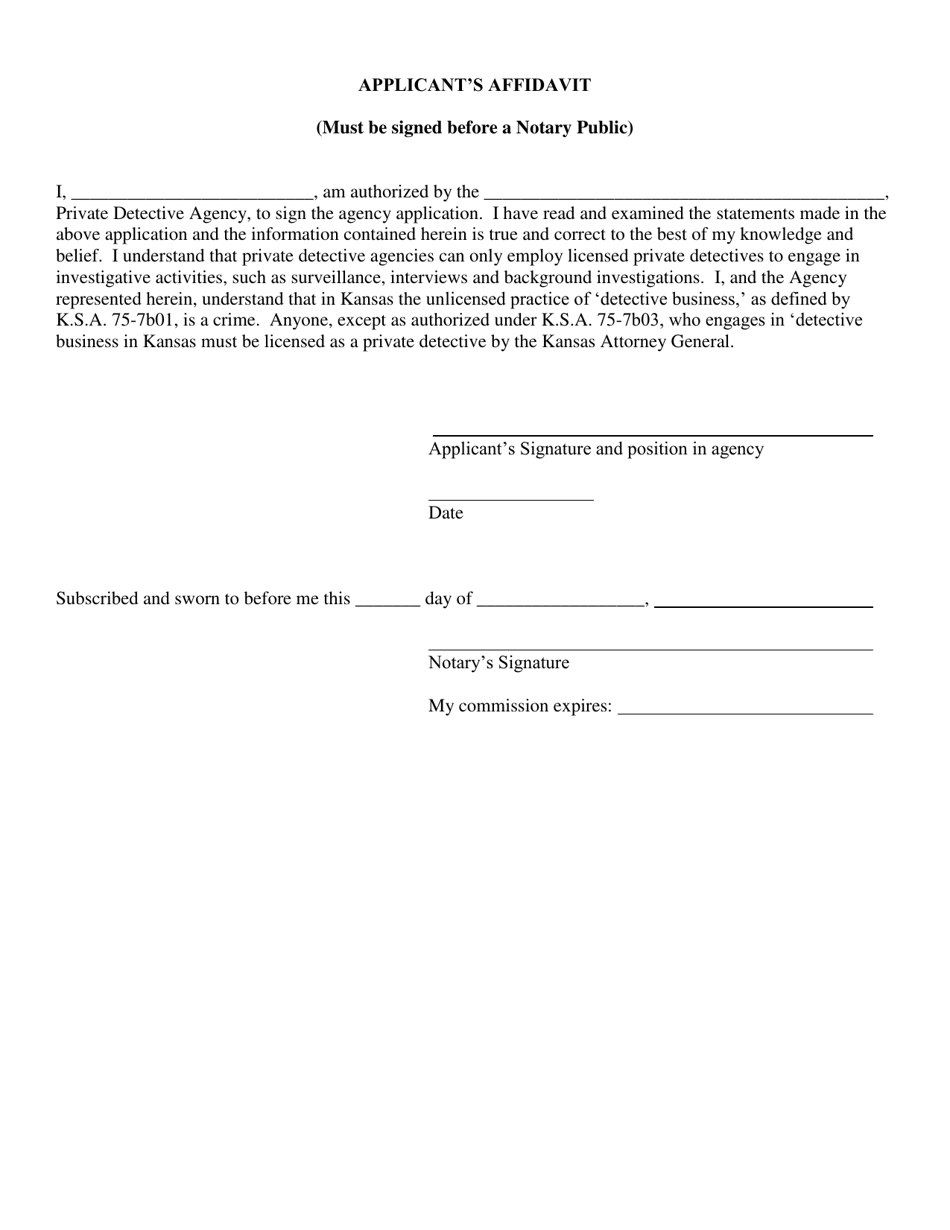
A: You can renew your agency license in Kansas by completing the renewal application and submitting it along with the required documents and fees.

Q: What documents do I need to submit for the renewal of my agency license in Kansas?
A: The documents required for the renewal of your agency license in Kansas may vary, but typically include proof of continuing education, proof of insurance, and any required bonds or fees.

Q: How much does it cost to renew an agency license in Kansas?
A: The cost to renew an agency license in Kansas varies depending on the type of agency and number of agents, but generally ranges from $100 to $500.

Q: Is there a deadline for renewing an agency license in Kansas?
A: Yes, there is a deadline for renewing an agency license in Kansas. The exact deadline may vary, but it is typically around the anniversary date of your original license issuance.

Q: What happens if I fail to renew my agency license in Kansas?
A: If you fail to renew your agency license in Kansas by the deadline, your license may expire and you may no longer be able to legally operate as an insurance agency in the state.

Q: How long does it take to process the agency license renewal application in Kansas?
A: The processing time for an agency license renewal application in Kansas varies, but it typically takes several weeks to a few months.

Q: Can I continue to operate as an agency while my renewal application is being processed in Kansas?
A: Yes, you can typically continue to operate as an agency while your renewal application is being processed in Kansas, as long as you submitted your application before the deadline.

ADVERTISEMENT

Form Details:

  • Released on May 1, 2018;
  • The latest edition currently provided by the Kansas Attorney General's Office;
  • Ready to use and print;
  • Easy to customize;
  • Compatible with most PDF-viewing applications;
  • Fill out the form in our online filing application.

Download a printable version of the form by clicking the link below or browse more documents and templates provided by the Kansas Attorney General's Office.

Download Agency License - Renewal Application - Kansas

4.6 of 5 (19 votes)
  • Agency License - Renewal Application - Kansas

    1

  • Agency License - Renewal Application - Kansas, Page 2

    2

  • Agency License - Renewal Application - Kansas, Page 3

    3

  • Agency License - Renewal Application - Kansas, Page 4

    4

  • Agency License - Renewal Application - Kansas, Page 5

    5

  • Agency License - Renewal Application - Kansas, Page 6

    6

  • Agency License - Renewal Application - Kansas, Page 7

    7

  • Agency License - Renewal Application - Kansas, Page 8

    8

  • Agency License - Renewal Application - Kansas, Page 9

    9

  • Agency License - Renewal Application - Kansas, Page 1
  • Agency License - Renewal Application - Kansas, Page 2
  • Agency License - Renewal Application - Kansas, Page 3
  • Agency License - Renewal Application - Kansas, Page 4
  • Agency License - Renewal Application - Kansas, Page 5
  • Agency License - Renewal Application - Kansas, Page 6
  • Agency License - Renewal Application - Kansas, Page 7
  • Agency License - Renewal Application - Kansas, Page 8
  • Agency License - Renewal Application - Kansas, Page 9
Prev 1 2 3 4 5 ... 9 Next
ADVERTISEMENT

Related Documents