Bie Advisory Board for Exceptional Education Membership Nomination Form

Bie Advisory Board for Exceptional Education Membership Nomination Form

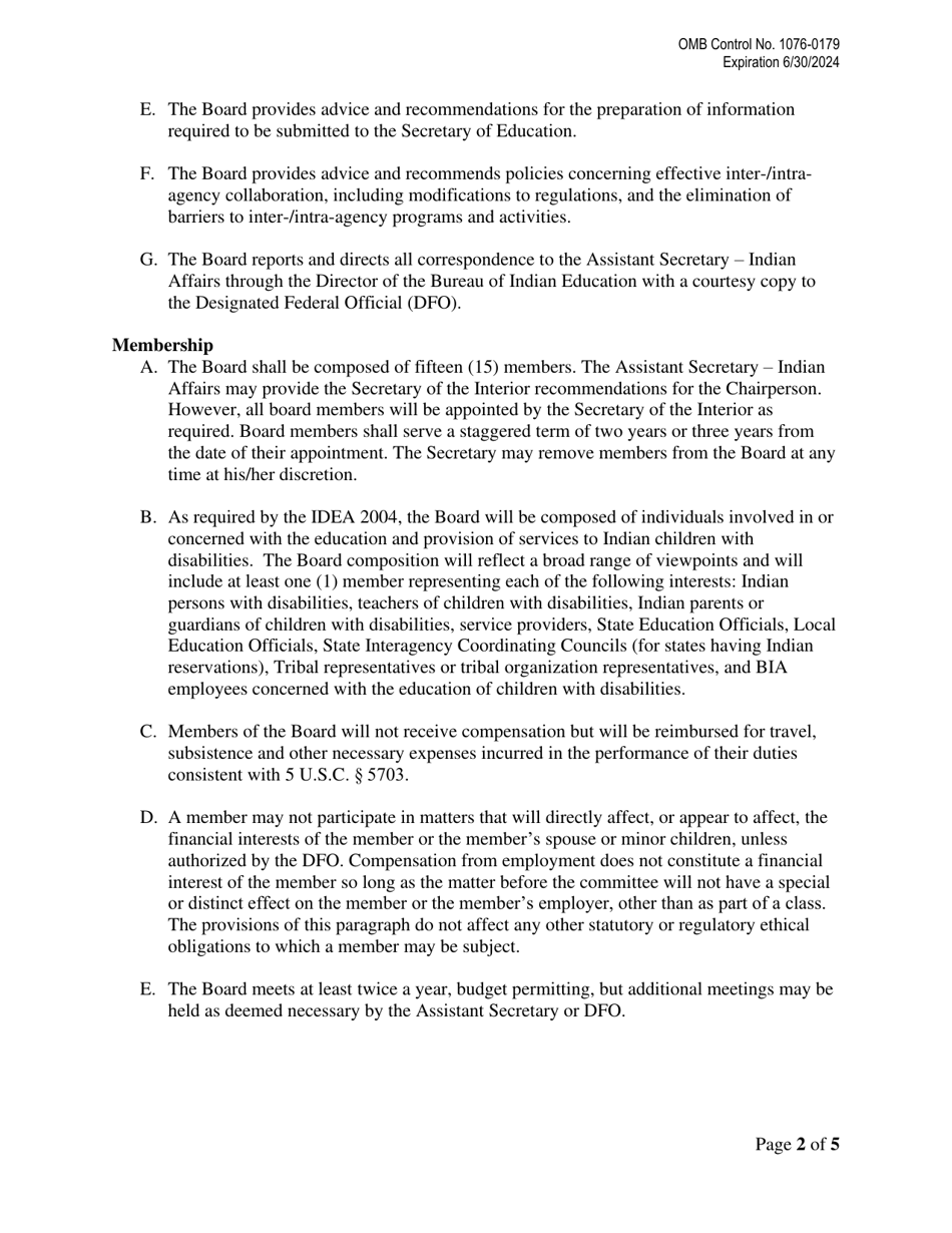
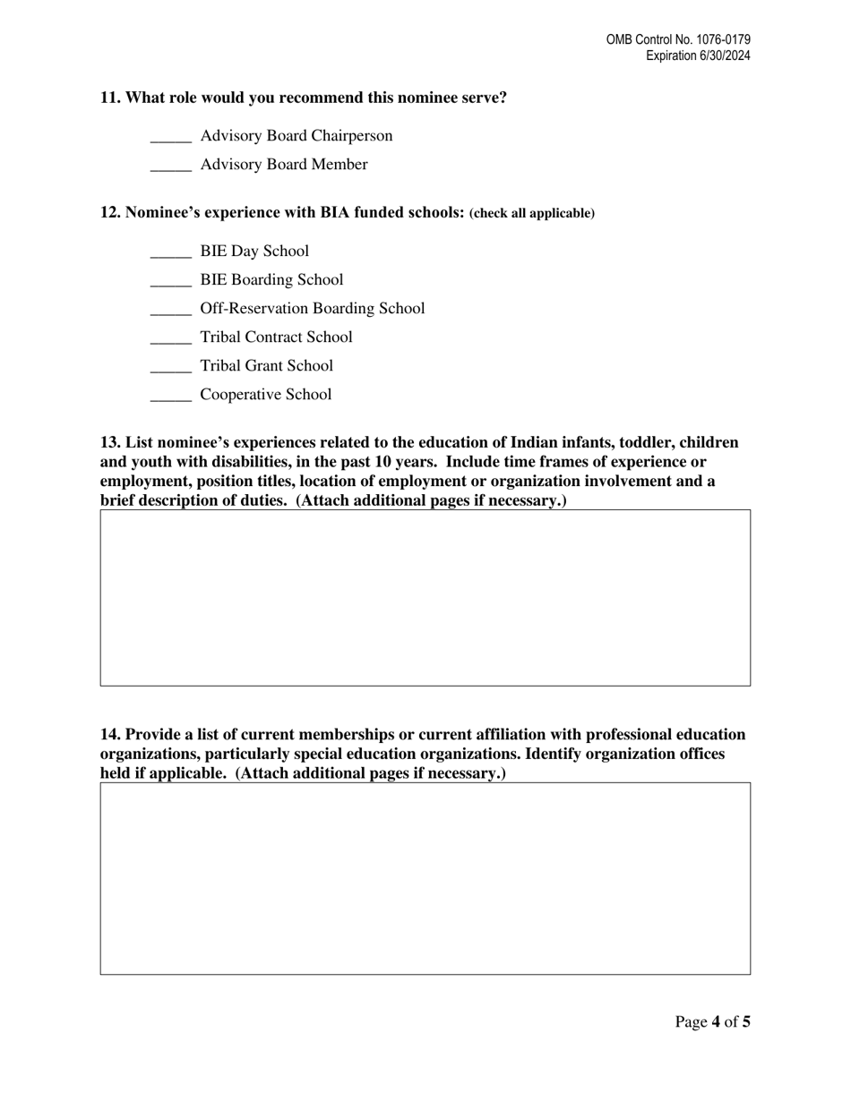
Bie Advisory Board for Exceptional Education Membership Nomination Form is a 5-page legal document that was released by the U.S. Department of the Interior - Bureau of Indian Affairs and used nation-wide.

FAQ

Q: What is the Bie Advisory Board for Exceptional Education?
A: The Bie Advisory Board for Exceptional Education is a board that focuses on providing guidance and recommendations for exceptional education in the United States.

Q: What is the purpose of the membership nomination form?
A: The membership nomination form is used to nominate individuals who are qualified and interested in serving on the Bie Advisory Board for Exceptional Education.

Q: Who can be nominated for membership on the board?
A: Any individual who meets the qualifications and has an interest in exceptional education can be nominated for membership on the board.

Q: Are there specific qualifications to be nominated for membership?
A: Yes, there are specific qualifications that individuals must meet in order to be nominated for membership on the board. These qualifications may include expertise in the field of exceptional education, relevant experience, and a commitment to improving the education of exceptional students.

Q: How can someone submit a nomination?
A: Nominations can be submitted by completing the membership nomination form and following the instructions provided.

Q: Is there a deadline for submitting nominations?
A: The membership nomination form will typically include a deadline for submitting nominations. It is important to adhere to this deadline and submit nominations before the specified date.

Q: What happens after a nomination is submitted?
A: After a nomination is submitted, the Bie Advisory Board for Exceptional Education will review the nomination and consider the qualifications and interests of the nominee. They may contact the nominee for additional information or to schedule an interview.

Q: Is membership on the board a paid position?
A: Membership on the Bie Advisory Board for Exceptional Education is typically a volunteer position.

Q: What are the responsibilities of board members?
A: Board members are responsible for providing guidance and recommendations on matters related to exceptional education. They may participate in meetings, review policies and programs, and provide input on decisions that impact exceptional students.

Q: Can board members serve multiple terms?
A: Yes, board members can serve multiple terms. The length of each term may vary and can be determined by the Bie Advisory Board for Exceptional Education.

ADVERTISEMENT

Form Details:

  • The latest edition currently provided by the U.S. Department of the Interior - Bureau of Indian Affairs;
  • Ready to use and print;
  • Easy to customize;
  • Compatible with most PDF-viewing applications;
  • Fill out the form in our online filing application.

Download a printable version of the form by clicking the link below or browse more legal forms and templates provided by the issuing department.

Download Bie Advisory Board for Exceptional Education Membership Nomination Form

4.6 of 5 (25 votes)
  • Bie Advisory Board for Exceptional Education Membership Nomination Form

    1

  • Bie Advisory Board for Exceptional Education Membership Nomination Form, Page 2

    2

  • Bie Advisory Board for Exceptional Education Membership Nomination Form, Page 3

    3

  • Bie Advisory Board for Exceptional Education Membership Nomination Form, Page 4

    4

  • Bie Advisory Board for Exceptional Education Membership Nomination Form, Page 5

    5

  • Bie Advisory Board for Exceptional Education Membership Nomination Form, Page 1
  • Bie Advisory Board for Exceptional Education Membership Nomination Form, Page 2
  • Bie Advisory Board for Exceptional Education Membership Nomination Form, Page 3
  • Bie Advisory Board for Exceptional Education Membership Nomination Form, Page 4
  • Bie Advisory Board for Exceptional Education Membership Nomination Form, Page 5
Prev 1 2 3 4 5 Next
ADVERTISEMENT