Form MADS-A-MR-COMBO Adult Disability Supplement - Massachusetts

Form MADS-A-MR-COMBO Adult Disability Supplement - Massachusetts

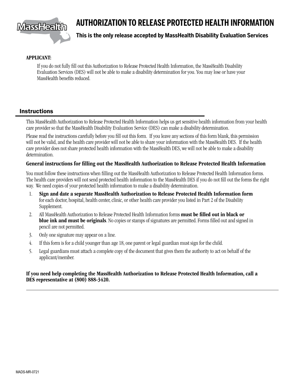
What Is Form MADS-A-MR-COMBO?

This is a legal form that was released by the Massachusetts MassHealth - a government authority operating within Massachusetts. As of today, no separate filing guidelines for the form are provided by the issuing department.

FAQ

Q: What is the MADS-A-MR-COMBO Adult Disability Supplement?
A: The MADS-A-MR-COMBO Adult Disability Supplement is a form used in Massachusetts to apply for disability benefits for adults.

Q: What does MADS-A stand for?
A: MADS-A stands for Massachusetts Adult Disability Supplement.

Q: What does MR-COMBO stand for?
A: MR-COMBO stands for Medical Report for Categorically Needy, Blind, and Disabled Adults.

Q: Who is eligible to use the MADS-A-MR-COMBO Adult Disability Supplement?
A: Adults in Massachusetts who have a disability and wish to apply for disability benefits are eligible to use this form.

Q: What information is required on the MADS-A-MR-COMBO form?
A: The form requires information about the applicant's personal details, disability, medical history, and financial information.

Q: How long does it take to process the MADS-A-MR-COMBO application?
A: The processing time for the MADS-A-MR-COMBO application can vary, but it typically takes several weeks to receive a decision.

Q: Is there a fee to submit the MADS-A-MR-COMBO form?
A: No, there is no fee to submit the MADS-A-MR-COMBO form.

Q: Can I appeal a decision if my MADS-A-MR-COMBO application is denied?
A: Yes, if your MADS-A-MR-COMBO application is denied, you have the right to appeal the decision and request a fair hearing.

ADVERTISEMENT

Form Details:

  • Released on July 1, 2021;
  • The latest edition provided by the Massachusetts MassHealth;
  • Easy to use and ready to print;
  • Quick to customize;
  • Compatible with most PDF-viewing applications;
  • Fill out the form in our online filing application.

Download a printable version of Form MADS-A-MR-COMBO by clicking the link below or browse more documents and templates provided by the Massachusetts MassHealth.

Download Form MADS-A-MR-COMBO Adult Disability Supplement - Massachusetts

4.8 of 5 (14 votes)
  • Form MADS-A-MR-COMBO Adult Disability Supplement - Massachusetts

    1

  • Form MADS-A-MR-COMBO Adult Disability Supplement - Massachusetts, Page 2

    2

  • Form MADS-A-MR-COMBO Adult Disability Supplement - Massachusetts, Page 3

    3

  • Form MADS-A-MR-COMBO Adult Disability Supplement - Massachusetts, Page 4

    4

  • Form MADS-A-MR-COMBO Adult Disability Supplement - Massachusetts, Page 5

    5

  • Form MADS-A-MR-COMBO Adult Disability Supplement - Massachusetts, Page 6

    6

  • Form MADS-A-MR-COMBO Adult Disability Supplement - Massachusetts, Page 7

    7

  • Form MADS-A-MR-COMBO Adult Disability Supplement - Massachusetts, Page 8

    8

  • Form MADS-A-MR-COMBO Adult Disability Supplement - Massachusetts, Page 9

    9

  • Form MADS-A-MR-COMBO Adult Disability Supplement - Massachusetts, Page 10

    10

  • Form MADS-A-MR-COMBO Adult Disability Supplement - Massachusetts, Page 11

    11

  • Form MADS-A-MR-COMBO Adult Disability Supplement - Massachusetts, Page 12

    12

  • Form MADS-A-MR-COMBO Adult Disability Supplement - Massachusetts, Page 13

    13

  • Form MADS-A-MR-COMBO Adult Disability Supplement - Massachusetts, Page 14

    14

  • Form MADS-A-MR-COMBO Adult Disability Supplement - Massachusetts, Page 15

    15

  • Form MADS-A-MR-COMBO Adult Disability Supplement - Massachusetts, Page 16

    16

  • Form MADS-A-MR-COMBO Adult Disability Supplement - Massachusetts, Page 1
  • Form MADS-A-MR-COMBO Adult Disability Supplement - Massachusetts, Page 2
  • Form MADS-A-MR-COMBO Adult Disability Supplement - Massachusetts, Page 3
  • Form MADS-A-MR-COMBO Adult Disability Supplement - Massachusetts, Page 4
  • Form MADS-A-MR-COMBO Adult Disability Supplement - Massachusetts, Page 5
  • Form MADS-A-MR-COMBO Adult Disability Supplement - Massachusetts, Page 6
  • Form MADS-A-MR-COMBO Adult Disability Supplement - Massachusetts, Page 7
  • Form MADS-A-MR-COMBO Adult Disability Supplement - Massachusetts, Page 8
  • Form MADS-A-MR-COMBO Adult Disability Supplement - Massachusetts, Page 9
  • Form MADS-A-MR-COMBO Adult Disability Supplement - Massachusetts, Page 10
  • Form MADS-A-MR-COMBO Adult Disability Supplement - Massachusetts, Page 11
  • Form MADS-A-MR-COMBO Adult Disability Supplement - Massachusetts, Page 12
  • Form MADS-A-MR-COMBO Adult Disability Supplement - Massachusetts, Page 13
  • Form MADS-A-MR-COMBO Adult Disability Supplement - Massachusetts, Page 14
  • Form MADS-A-MR-COMBO Adult Disability Supplement - Massachusetts, Page 15
  • Form MADS-A-MR-COMBO Adult Disability Supplement - Massachusetts, Page 16
Prev 1 2 3 4 5 ... 16 Next
ADVERTISEMENT