Form C (1C-P-988) Waiver of Physical Presence; Submission of Plea - Hawaii

Form C (1C-P-988) Waiver of Physical Presence; Submission of Plea - Hawaii

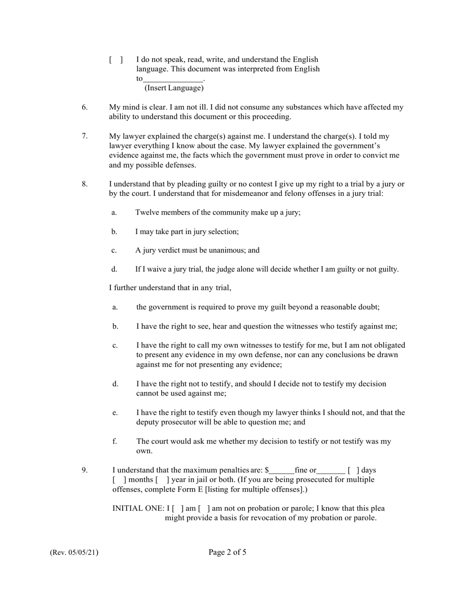
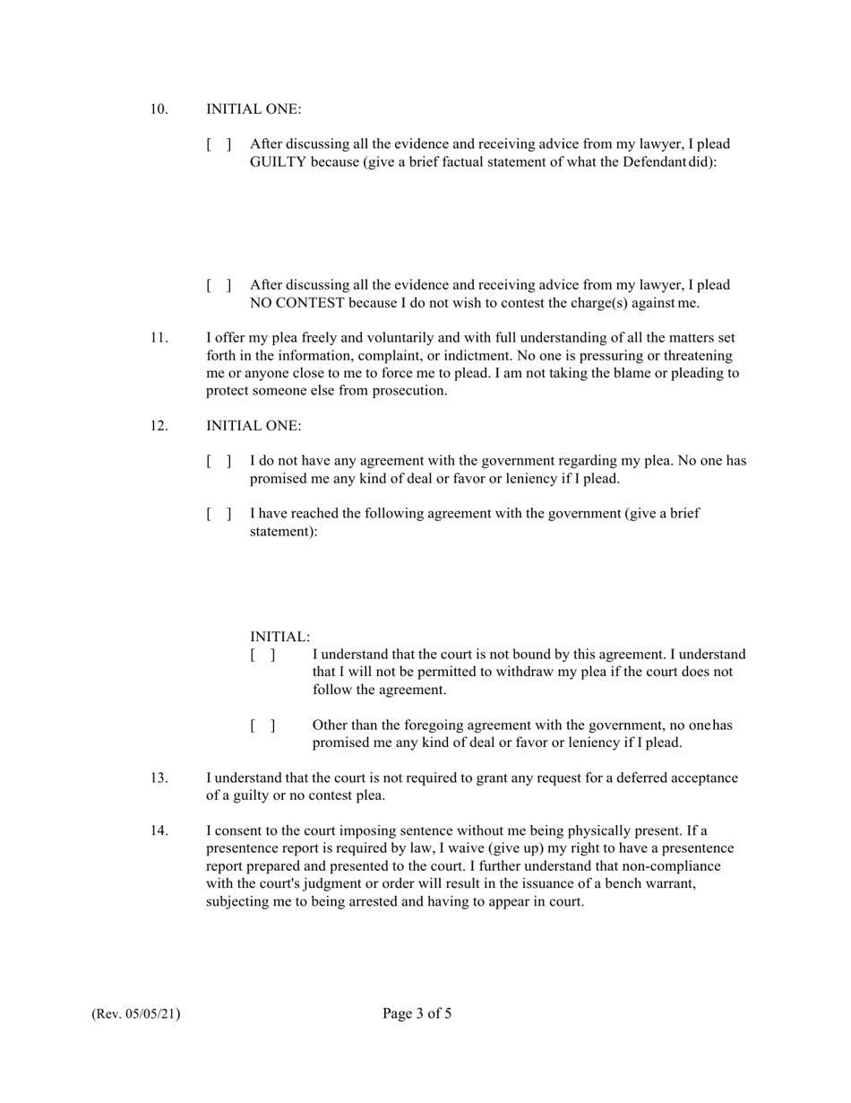
What Is Form C (1C-P-988)?

This is a legal form that was released by the Hawaii Circuit Court - a government authority operating within Hawaii. As of today, no separate filing guidelines for the form are provided by the issuing department.

FAQ

Q: What is Form C (1C-P-988)?
A: Form C (1C-P-988) is a waiver of physical presence and submission of plea form used in Hawaii.

Q: What is the purpose of Form C (1C-P-988)?
A: The purpose of Form C (1C-P-988) is to waive the requirement of physical presence and allow for the submission of a plea in Hawaii.

Q: Who uses Form C (1C-P-988)?
A: Form C (1C-P-988) is used by individuals who are unable to physically appear in court and wish to submit a plea in Hawaii.

Q: How do I use Form C (1C-P-988)?
A: To use Form C (1C-P-988), you need to fill out the form completely and accurately, sign it, and submit it to the appropriate court in Hawaii.

Q: Are there any fees associated with Form C (1C-P-988)?
A: This information is not provided in the document.

Q: Can I submit Form C (1C-P-988) electronically?
A: This information is not provided in the document.

Q: What happens after I submit Form C (1C-P-988)?
A: After you submit Form C (1C-P-988), the court will review your plea and determine the next steps in your case.

Q: Can I appeal a decision made based on my submission of Form C (1C-P-988)?
A: This information is not provided in the document.

Q: Is Form C (1C-P-988) specific to Hawaii?
A: Yes, Form C (1C-P-988) is specific to the state of Hawaii.

ADVERTISEMENT

Form Details:

  • Released on May 5, 2021;
  • The latest edition provided by the Hawaii Circuit Court;
  • Easy to use and ready to print;
  • Quick to customize;
  • Compatible with most PDF-viewing applications;
  • Fill out the form in our online filing application.

Download a fillable version of Form C (1C-P-988) by clicking the link below or browse more documents and templates provided by the Hawaii Circuit Court.

Download Form C (1C-P-988) Waiver of Physical Presence; Submission of Plea - Hawaii

4.5 of 5 (19 votes)
  • Form C (1C-P-988) Waiver of Physical Presence; Submission of Plea - Hawaii

    1

  • Form C (1C-P-988) Waiver of Physical Presence; Submission of Plea - Hawaii, Page 2

    2

  • Form C (1C-P-988) Waiver of Physical Presence; Submission of Plea - Hawaii, Page 3

    3

  • Form C (1C-P-988) Waiver of Physical Presence; Submission of Plea - Hawaii, Page 4

    4

  • Form C (1C-P-988) Waiver of Physical Presence; Submission of Plea - Hawaii, Page 5

    5

  • Form C (1C-P-988) Waiver of Physical Presence; Submission of Plea - Hawaii, Page 1
  • Form C (1C-P-988) Waiver of Physical Presence; Submission of Plea - Hawaii, Page 2
  • Form C (1C-P-988) Waiver of Physical Presence; Submission of Plea - Hawaii, Page 3
  • Form C (1C-P-988) Waiver of Physical Presence; Submission of Plea - Hawaii, Page 4
  • Form C (1C-P-988) Waiver of Physical Presence; Submission of Plea - Hawaii, Page 5
Prev 1 2 3 4 5 Next
ADVERTISEMENT