Government Claims Program Information and Claim Form - California

Government Claims Program Information and Claim Form - California

Government Claims Program Information and Claim Form is a legal document that was released by the State Bar of California - a government authority operating within California.

FAQ

Q: What is the Government Claims Program?
A: The Government Claims Program is a system in California that allows individuals to file claims against the government.

Q: Who can file a claim through the Government Claims Program?
A: Any individual or entity who believes they have a valid claim against the government can file a claim.

Q: What types of claims can be filed through the Government Claims Program?
A: Claims can be filed for a variety of reasons, such as personal injury, property damage, or negligence by government employees.

Q: How do I file a claim through the Government Claims Program?
A: To file a claim, you need to complete and submit a Government Claim Form, which can be obtained from the appropriate government agency.

Q: Are there any deadlines for filing a claim through the Government Claims Program?
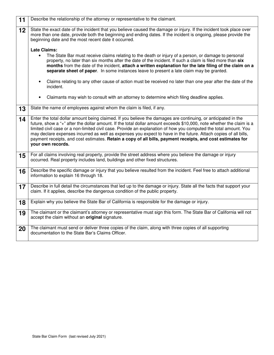
A: Yes, there are strict deadlines for filing a claim. Generally, you must file your claim within six months of the incident.

Q: What happens after I file a claim through the Government Claims Program?
A: After you file a claim, the government agency will review your claim and may either accept or reject it.

Q: What should I do if my claim is rejected?
A: If your claim is rejected, you may have the option to file a lawsuit against the government. It is recommended to consult with an attorney in such cases.

Q: Can I appeal a decision made on my claim?
A: Yes, if your claim is rejected, you have the right to appeal the decision. You may need to follow certain procedures and deadlines for the appeal.

Q: Is there a cost to file a claim through the Government Claims Program?
A: There is no fee to file a claim through the Government Claims Program.

ADVERTISEMENT

Form Details:

  • Released on July 1, 2021;
  • The latest edition currently provided by the State Bar of California;
  • Ready to use and print;
  • Easy to customize;
  • Compatible with most PDF-viewing applications;
  • Fill out the form in our online filing application.

Download a fillable version of the form by clicking the link below or browse more documents and templates provided by the State Bar of California.

Download Government Claims Program Information and Claim Form - California

4.7 of 5 (23 votes)
  • Government Claims Program Information and Claim Form - California

    1

  • Government Claims Program Information and Claim Form - California, Page 2

    2

  • Government Claims Program Information and Claim Form - California, Page 3

    3

  • Government Claims Program Information and Claim Form - California, Page 4

    4

  • Government Claims Program Information and Claim Form - California, Page 1
  • Government Claims Program Information and Claim Form - California, Page 2
  • Government Claims Program Information and Claim Form - California, Page 3
  • Government Claims Program Information and Claim Form - California, Page 4
Prev 1 2 3 4 Next
ADVERTISEMENT

Related Documents