New Doctor Chiropractic License Application - South Dakota

New Doctor Chiropractic License Application - South Dakota

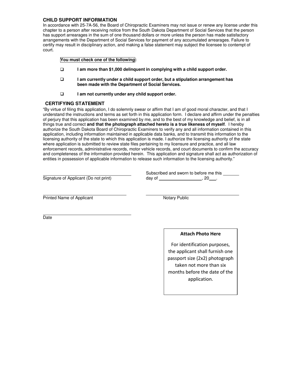
New Doctor Chiropractic License Application is a legal document that was released by the South Dakota Department of Health - a government authority operating within South Dakota.

FAQ

Q: What is the process for obtaining a chiropractic license in South Dakota?
A: To obtain a chiropractic license in South Dakota, you need to complete an application and meet the education and examination requirements set by the South Dakota Board of Chiropractic Examiners.

Q: What are the education requirements for a chiropractic license in South Dakota?
A: To be eligible for a chiropractic license in South Dakota, you must have graduated from an accredited chiropractic college.

Q: What examinations are required for a chiropractic license in South Dakota?
A: To get a chiropractic license in South Dakota, you must pass the National Board of Chiropractic Examiners (NBCE) exams and the South Dakota jurisprudence exam.

Q: Are there any additional requirements for obtaining a chiropractic license in South Dakota?
A: In addition to the education and examination requirements, you need to submit an application, provide references, and pay the application and license fees.

Q: How can I apply for a chiropractic license in South Dakota?
A: You can apply for a chiropractic license in South Dakota by completing the license application form and submitting it to the South Dakota Board of Chiropractic Examiners.

Q: What is the fee for a chiropractic license in South Dakota?
A: The fee for a chiropractic license in South Dakota is $350.

ADVERTISEMENT

Form Details:

  • Released on June 29, 2021;
  • The latest edition currently provided by the South Dakota Department of Health;
  • Ready to use and print;
  • Easy to customize;
  • Compatible with most PDF-viewing applications;
  • Fill out the form in our online filing application.

Download a printable version of the form by clicking the link below or browse more documents and templates provided by the South Dakota Department of Health.

Download New Doctor Chiropractic License Application - South Dakota

4.7 of 5 (9 votes)
  • New Doctor Chiropractic License Application - South Dakota

    1

  • New Doctor Chiropractic License Application - South Dakota, Page 2

    2

  • New Doctor Chiropractic License Application - South Dakota, Page 3

    3

  • New Doctor Chiropractic License Application - South Dakota, Page 4

    4

  • New Doctor Chiropractic License Application - South Dakota, Page 5

    5

  • New Doctor Chiropractic License Application - South Dakota, Page 6

    6

  • New Doctor Chiropractic License Application - South Dakota, Page 7

    7

  • New Doctor Chiropractic License Application - South Dakota, Page 1
  • New Doctor Chiropractic License Application - South Dakota, Page 2
  • New Doctor Chiropractic License Application - South Dakota, Page 3
  • New Doctor Chiropractic License Application - South Dakota, Page 4
  • New Doctor Chiropractic License Application - South Dakota, Page 5
  • New Doctor Chiropractic License Application - South Dakota, Page 6
  • New Doctor Chiropractic License Application - South Dakota, Page 7
Prev 1 2 3 4 5 ... 7 Next
ADVERTISEMENT

Related Documents