DSHS Form 18-176 Address Release Information Letter - Washington

DSHS Form 18-176 Address Release Information Letter - Washington

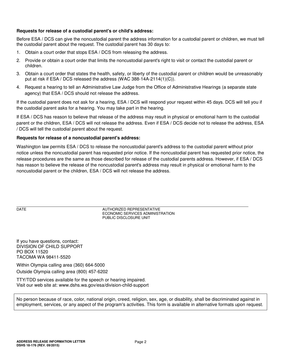
What Is DSHS Form 18-176?

This is a legal form that was released by the Washington State Department of Social and Health Services - a government authority operating within Washington. As of today, no separate filing guidelines for the form are provided by the issuing department.

FAQ

Q: What is the DSHS Form 18-176 Address Release Information Letter?
A: The DSHS Form 18-176 Address Release Information Letter is a document used in Washington state to release an individual's address information.

Q: When is the DSHS Form 18-176 Address Release Information Letter used?
A: The DSHS Form 18-176 Address Release Information Letter is used when someone wants to release their address information to a specific person or organization.

Q: Who can use the DSHS Form 18-176 Address Release Information Letter?
A: Any individual in Washington state who wants to release their address information can use the DSHS Form 18-176 Address Release Information Letter.

Q: How do I fill out the DSHS Form 18-176 Address Release Information Letter?
A: You need to provide your personal information, the name and address of the person or organization receiving your address information, and sign the form.

Q: Is there a fee for submitting the DSHS Form 18-176 Address Release Information Letter?
A: No, there is no fee for submitting the DSHS Form 18-176 Address Release Information Letter.

Q: How long does it take to process the DSHS Form 18-176 Address Release Information Letter?
A: The processing time for the DSHS Form 18-176 Address Release Information Letter can vary, but it usually takes a few weeks.

Q: Can I revoke the release of my address information after submitting the DSHS Form 18-176 Address Release Information Letter?
A: Yes, you can revoke the release of your address information by submitting a written request to DSHS.

Q: Will my address information be shared with anyone else?
A: No, your address information will only be shared with the person or organization specified in the DSHS Form 18-176 Address Release Information Letter.

Q: Is submitting the DSHS Form 18-176 Address Release Information Letter mandatory?
A: No, submitting the DSHS Form 18-176 Address Release Information Letter is voluntary and optional.

ADVERTISEMENT

Form Details:

  • Released on September 1, 2015;
  • The latest edition provided by the Washington State Department of Social and Health Services;
  • Easy to use and ready to print;
  • Available in Chinese;
  • Quick to customize;
  • Compatible with most PDF-viewing applications;
  • Fill out the form in our online filing application.

Download a printable version of DSHS Form 18-176 by clicking the link below or browse more documents and templates provided by the Washington State Department of Social and Health Services.

Download DSHS Form 18-176 Address Release Information Letter - Washington

4.6 of 5 (22 votes)
  • DSHS Form 18-176 Address Release Information Letter - Washington

    1

  • DSHS Form 18-176 Address Release Information Letter - Washington, Page 2

    2

  • DSHS Form 18-176 Address Release Information Letter - Washington, Page 1
  • DSHS Form 18-176 Address Release Information Letter - Washington, Page 2
Prev 1 2 Next
ADVERTISEMENT