Form MP250 Order for Misdemeanor Competency Restoration Treatment (Crorip, Crorop, Cror) - Washington

Notification Icon This version of the form is not currently in use and is provided for reference only. Download this version of Form MP250 for the current year.

Form MP250 Order for Misdemeanor Competency Restoration Treatment (Crorip, Crorop, Cror) - Washington

What Is Form MP250?

This is a legal form that was released by the Washington State Courts - a government authority operating within Washington. As of today, no separate filing guidelines for the form are provided by the issuing department.

FAQ

Q: What is the MP250 form?
A: The MP250 form is used to request misdemeanor competency restoration treatment in Washington.

Q: What does CRORIP stand for?
A: CRORIP stands for Competency Restoration Order to Institute Treatment for Individuals with Incompetent to Proceed Status.

Q: What is CROROP?
A: CROROP stands for Competency Restoration Order to Petition for Incompetent to Proceed Status.

Q: What is CROR?
A: CROR stands for Competency Restoration Order Request.

Q: Who can use the MP250 form?
A: The MP250 form can be used by individuals who are facing a misdemeanor charge and are deemed incompetent to proceed in court.

Q: What is the purpose of the MP250 form?
A: The purpose of the MP250 form is to request competency restoration treatment for individuals with an incompetent to proceed status in misdemeanor cases.

Q: Are there any fees associated with filing the MP250 form?
A: Yes, there may be filing fees associated with the MP250 form. The exact fees can vary depending on the court and jurisdiction.

Q: What should I do after completing the MP250 form?
A: After completing the MP250 form, you should submit it to the court clerk's office and follow any additional instructions provided.

Q: Who should I contact if I have questions about the MP250 form or the competency restoration process?
A: If you have questions about the MP250 form or the competency restoration process, you should contact the court clerk's office or consult with an attorney.

ADVERTISEMENT

Form Details:

  • Released on July 1, 2021;
  • The latest edition provided by the Washington State Courts;
  • Easy to use and ready to print;
  • Quick to customize;
  • Compatible with most PDF-viewing applications;
  • Fill out the form in our online filing application.

Download a printable version of Form MP250 by clicking the link below or browse more documents and templates provided by the Washington State Courts.

Download Form MP250 Order for Misdemeanor Competency Restoration Treatment (Crorip, Crorop, Cror) - Washington

4.6 of 5 (28 votes)
  • Form MP250 Order for Misdemeanor Competency Restoration Treatment (Crorip, Crorop, Cror) - Washington

    1

  • Form MP250 Order for Misdemeanor Competency Restoration Treatment (Crorip, Crorop, Cror) - Washington, Page 2

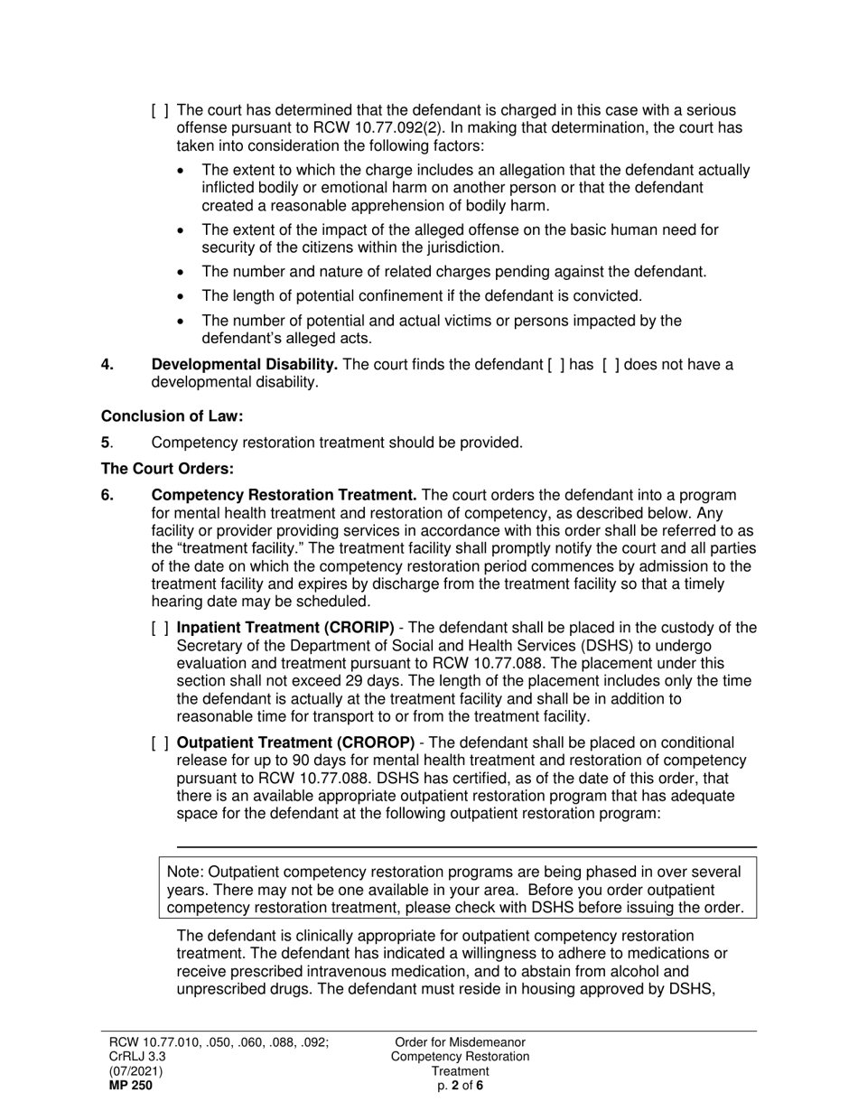
    2

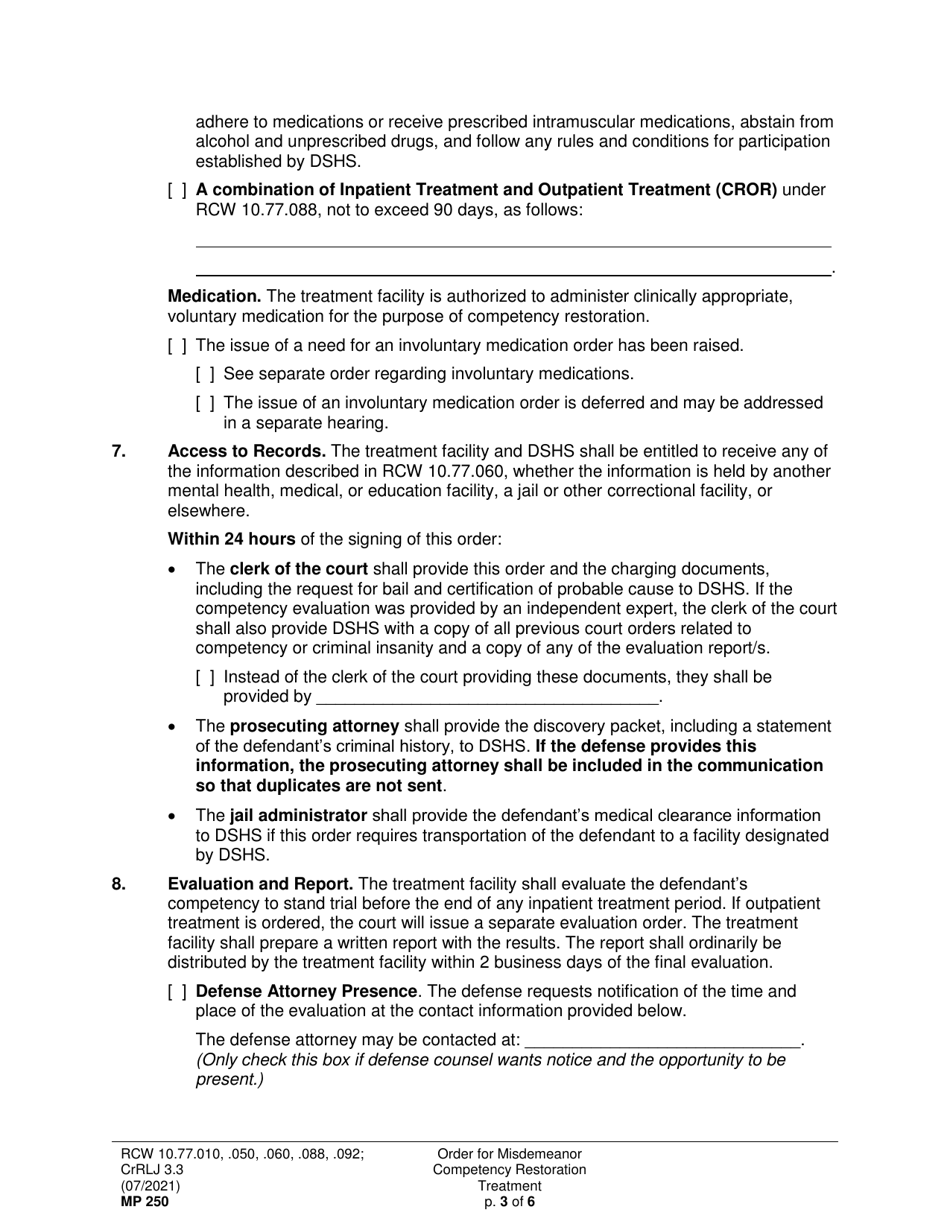
  • Form MP250 Order for Misdemeanor Competency Restoration Treatment (Crorip, Crorop, Cror) - Washington, Page 3

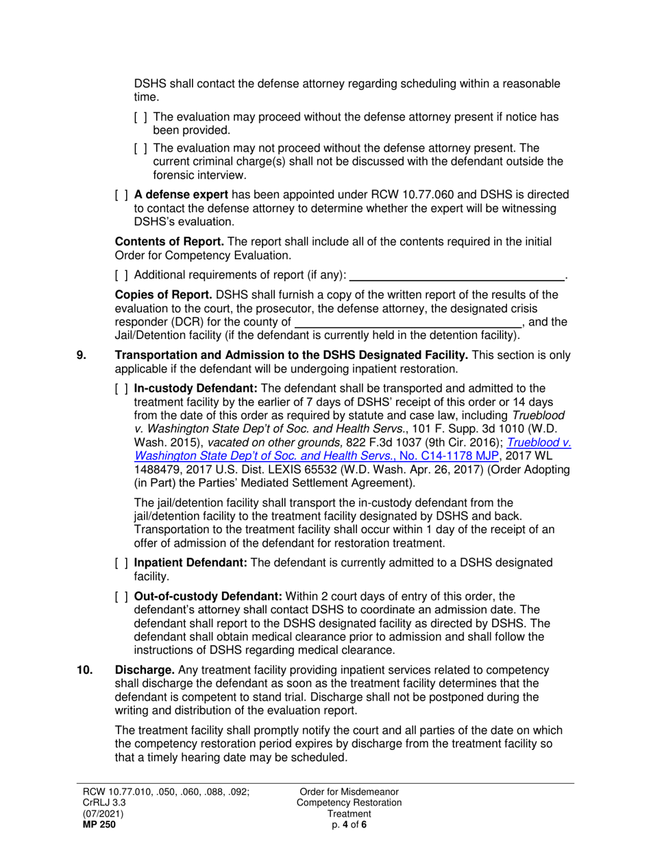
    3

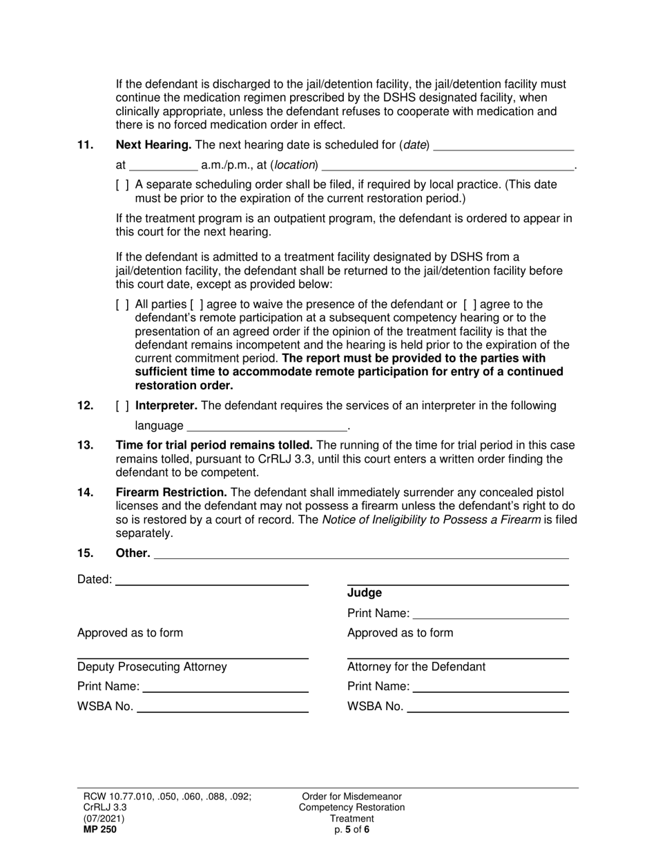
  • Form MP250 Order for Misdemeanor Competency Restoration Treatment (Crorip, Crorop, Cror) - Washington, Page 4

    4

  • Form MP250 Order for Misdemeanor Competency Restoration Treatment (Crorip, Crorop, Cror) - Washington, Page 5

    5

  • Form MP250 Order for Misdemeanor Competency Restoration Treatment (Crorip, Crorop, Cror) - Washington, Page 6

    6

  • Form MP250 Order for Misdemeanor Competency Restoration Treatment (Crorip, Crorop, Cror) - Washington, Page 1
  • Form MP250 Order for Misdemeanor Competency Restoration Treatment (Crorip, Crorop, Cror) - Washington, Page 2
  • Form MP250 Order for Misdemeanor Competency Restoration Treatment (Crorip, Crorop, Cror) - Washington, Page 3
  • Form MP250 Order for Misdemeanor Competency Restoration Treatment (Crorip, Crorop, Cror) - Washington, Page 4
  • Form MP250 Order for Misdemeanor Competency Restoration Treatment (Crorip, Crorop, Cror) - Washington, Page 5
  • Form MP250 Order for Misdemeanor Competency Restoration Treatment (Crorip, Crorop, Cror) - Washington, Page 6
Prev 1 2 3 4 5 6 Next
ADVERTISEMENT