Form MP460 Order Revoking Less Restrictive Alternative Treatment / Conditional Release (Orlrat) - Washington

Notification Icon This version of the form is not currently in use and is provided for reference only. Download this version of Form MP460 for the current year.

Form MP460 Order Revoking Less Restrictive Alternative Treatment / Conditional Release (Orlrat) - Washington

What Is Form MP460?

This is a legal form that was released by the Washington Superior Court - a government authority operating within Washington. As of today, no separate filing guidelines for the form are provided by the issuing department.

FAQ

Q: What is the purpose of Form MP460?
A: Form MP460 is used to request the revocation of less restrictive alternative treatment or conditional release in Washington.

Q: What does Orlrat stand for?
A: Orlrat stands for Less Restrictive Alternative Treatment/Conditional Release.

Q: Who can use Form MP460?
A: Form MP460 is used by individuals or their legal representatives to request the revocation of Orlrat in Washington.

ADVERTISEMENT

Form Details:

  • Released on July 1, 2021;
  • The latest edition provided by the Washington Superior Court;
  • Easy to use and ready to print;
  • Quick to customize;
  • Compatible with most PDF-viewing applications;
  • Fill out the form in our online filing application.

Download a printable version of Form MP460 by clicking the link below or browse more documents and templates provided by the Washington Superior Court.

Download Form MP460 Order Revoking Less Restrictive Alternative Treatment / Conditional Release (Orlrat) - Washington

4.8 of 5 (18 votes)
  • Form MP460 Order Revoking Less Restrictive Alternative Treatment/Conditional Release (Orlrat) - Washington

    1

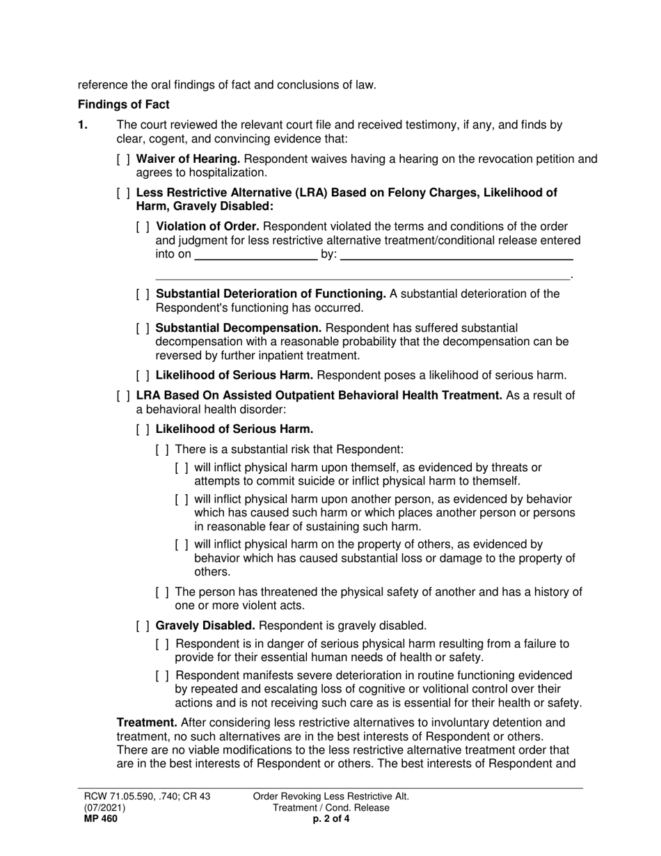
  • Form MP460 Order Revoking Less Restrictive Alternative Treatment/Conditional Release (Orlrat) - Washington, Page 2

    2

  • Form MP460 Order Revoking Less Restrictive Alternative Treatment/Conditional Release (Orlrat) - Washington, Page 3

    3

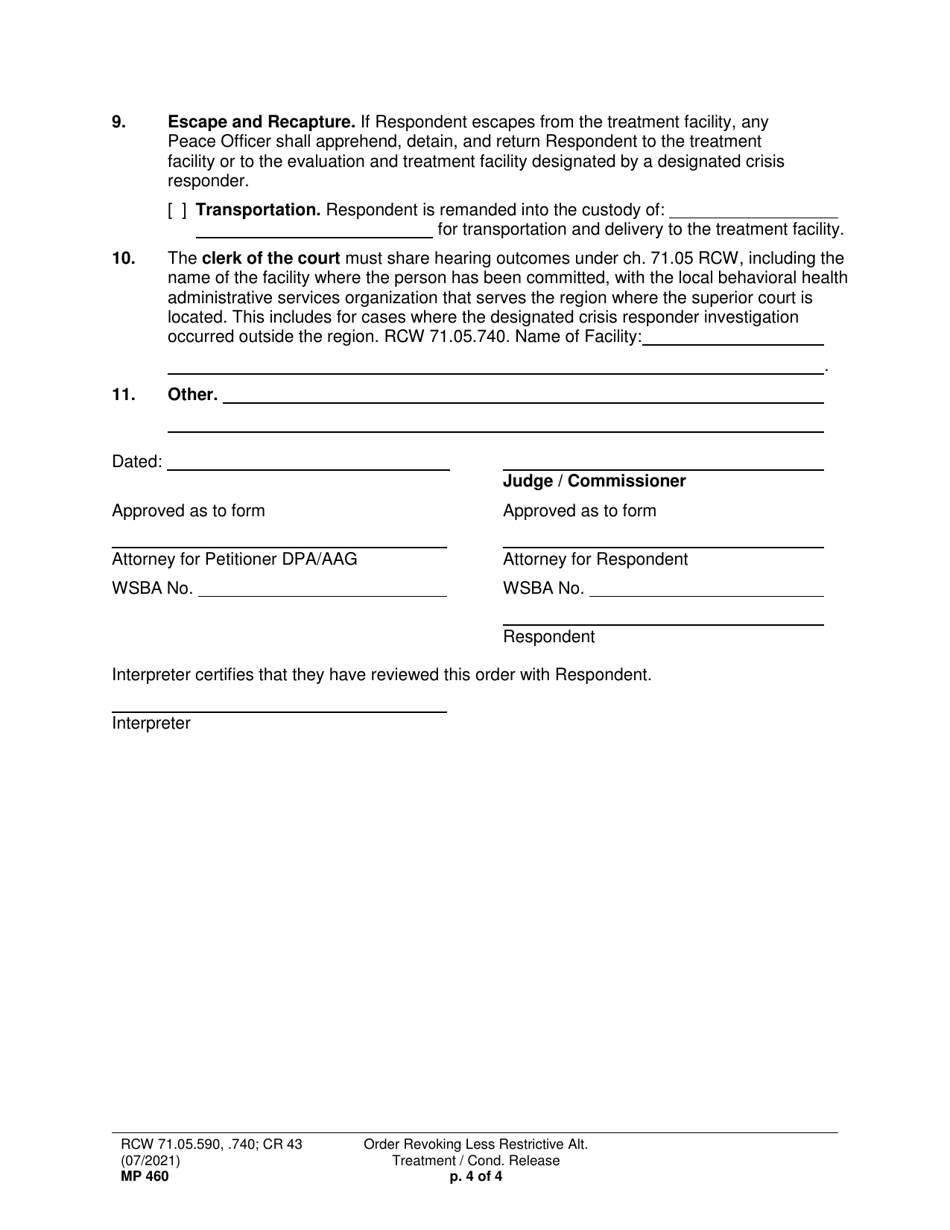
  • Form MP460 Order Revoking Less Restrictive Alternative Treatment/Conditional Release (Orlrat) - Washington, Page 4

    4

  • Form MP460 Order Revoking Less Restrictive Alternative Treatment / Conditional Release (Orlrat) - Washington, Page 1
  • Form MP460 Order Revoking Less Restrictive Alternative Treatment / Conditional Release (Orlrat) - Washington, Page 2
  • Form MP460 Order Revoking Less Restrictive Alternative Treatment / Conditional Release (Orlrat) - Washington, Page 3
  • Form MP460 Order Revoking Less Restrictive Alternative Treatment / Conditional Release (Orlrat) - Washington, Page 4
Prev 1 2 3 4 Next
ADVERTISEMENT