Form WPF CR84.0400 JSKO Felony Judgment and Sentence - Jail One Year or Less (Sex Offense and Kidnapping of a Minor) - Washington

Notification Icon This version of the form is not currently in use and is provided for reference only. Download this version of Form WPF CR84.0400 JSKO for the current year.

Form WPF CR84.0400 JSKO Felony Judgment and Sentence - Jail One Year or Less (Sex Offense and Kidnapping of a Minor) - Washington

What Is Form WPF CR84.0400 JSKO?

This is a legal form that was released by the Washington Superior Court - a government authority operating within Washington. As of today, no separate filing guidelines for the form are provided by the issuing department.

FAQ

Q: What is Form WPF CR84.0400 JSKO?
A: Form WPF CR84.0400 JSKO is a legal form used in the state of Washington specifically for felony judgments and sentences related to sex offenses and kidnapping of a minor with a jail term of one year or less.

Q: What is the purpose of Form WPF CR84.0400 JSKO?
A: The purpose of Form WPF CR84.0400 JSKO is to document the judgment and sentence for a felony conviction related to a sex offense and kidnapping of a minor with a jail term of one year or less.

Q: Who uses Form WPF CR84.0400 JSKO?
A: Form WPF CR84.0400 JSKO is used by the court system, judges, and legal professionals involved in felony cases related to sex offenses and kidnapping of a minor with a jail term of one year or less in Washington.

Q: What type of offense does Form WPF CR84.0400 JSKO refer to?
A: Form WPF CR84.0400 JSKO refers to felony offenses related to sex offenses and kidnapping of a minor with a jail term of one year or less.

Q: Is Form WPF CR84.0400 JSKO specific to Washington?
A: Yes, Form WPF CR84.0400 JSKO is specific to the state of Washington and its court system.

Q: What are the key details covered in Form WPF CR84.0400 JSKO?
A: Form WPF CR84.0400 JSKO covers the details of the judgment and sentence for a felony conviction, including the specific offense, duration of jail term, and any additional conditions or probationary periods.

Q: Can I use Form WPF CR84.0400 JSKO for other states?
A: No, Form WPF CR84.0400 JSKO is specifically designed for use in Washington and may not be suitable for use in other states.

Q: Are there any alternatives to Form WPF CR84.0400 JSKO for other states?
A: Yes, other states may have their own specific forms or templates for documenting felony judgments and sentences related to sex offenses and kidnapping of a minor with a jail term of one year or less. It is best to consult the court system or legal professionals in the respective state for the appropriate form.

Q: What should I do if I need to fill out Form WPF CR84.0400 JSKO?
A: If you need to fill out Form WPF CR84.0400 JSKO, it is recommended to seek guidance from a legal professional or consult the court clerk to ensure accurate and complete completion of the form.

ADVERTISEMENT

Form Details:

  • Released on July 1, 2021;
  • The latest edition provided by the Washington Superior Court;
  • Easy to use and ready to print;
  • Quick to customize;
  • Compatible with most PDF-viewing applications;
  • Fill out the form in our online filing application.

Download a printable version of Form WPF CR84.0400 JSKO by clicking the link below or browse more documents and templates provided by the Washington Superior Court.

Download Form WPF CR84.0400 JSKO Felony Judgment and Sentence - Jail One Year or Less (Sex Offense and Kidnapping of a Minor) - Washington

4.8 of 5 (17 votes)
  • Form WPF CR84.0400 JSKO Felony Judgment and Sentence - Jail One Year or Less (Sex Offense and Kidnapping of a Minor) - Washington

    1

  • Form WPF CR84.0400 JSKO Felony Judgment and Sentence - Jail One Year or Less (Sex Offense and Kidnapping of a Minor) - Washington, Page 2

    2

  • Form WPF CR84.0400 JSKO Felony Judgment and Sentence - Jail One Year or Less (Sex Offense and Kidnapping of a Minor) - Washington, Page 3

    3

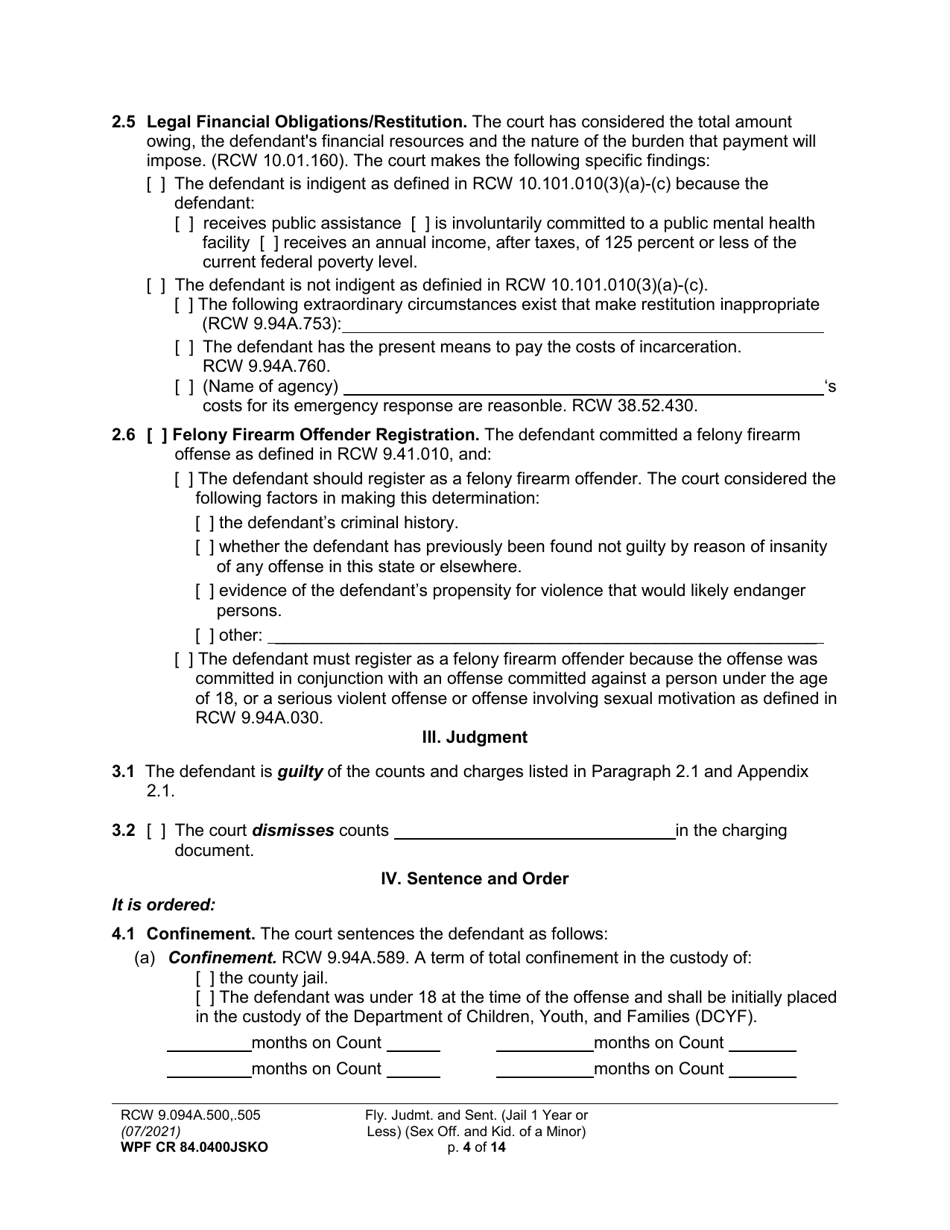
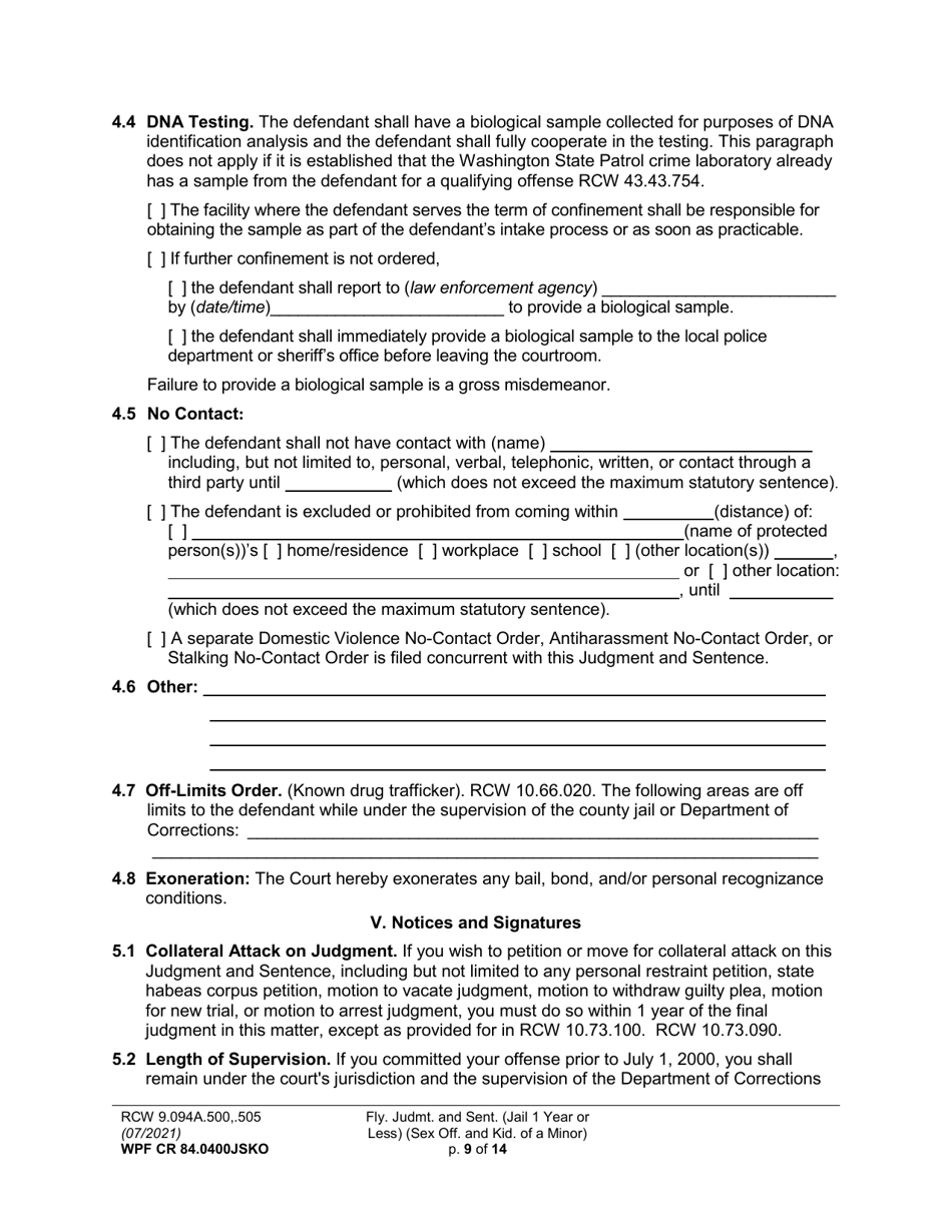
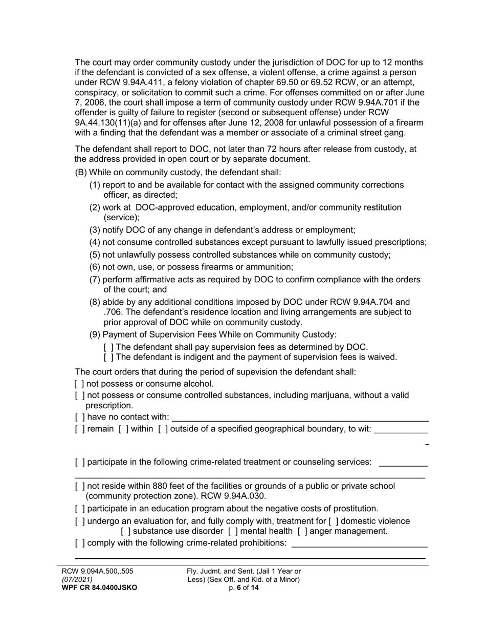
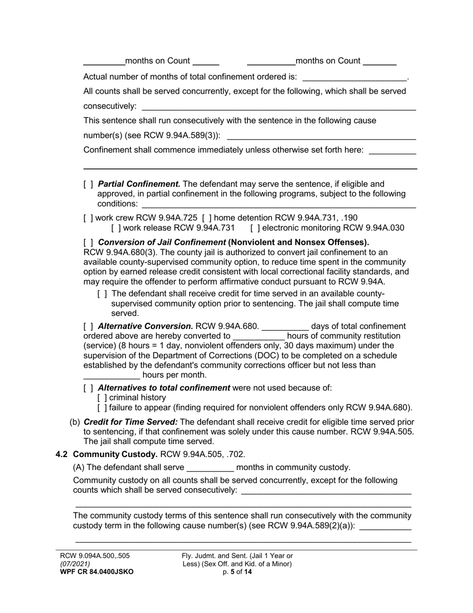
  • Form WPF CR84.0400 JSKO Felony Judgment and Sentence - Jail One Year or Less (Sex Offense and Kidnapping of a Minor) - Washington, Page 4

    4

  • Form WPF CR84.0400 JSKO Felony Judgment and Sentence - Jail One Year or Less (Sex Offense and Kidnapping of a Minor) - Washington, Page 5

    5

  • Form WPF CR84.0400 JSKO Felony Judgment and Sentence - Jail One Year or Less (Sex Offense and Kidnapping of a Minor) - Washington, Page 6

    6

  • Form WPF CR84.0400 JSKO Felony Judgment and Sentence - Jail One Year or Less (Sex Offense and Kidnapping of a Minor) - Washington, Page 7

    7

  • Form WPF CR84.0400 JSKO Felony Judgment and Sentence - Jail One Year or Less (Sex Offense and Kidnapping of a Minor) - Washington, Page 8

    8

  • Form WPF CR84.0400 JSKO Felony Judgment and Sentence - Jail One Year or Less (Sex Offense and Kidnapping of a Minor) - Washington, Page 9

    9

  • Form WPF CR84.0400 JSKO Felony Judgment and Sentence - Jail One Year or Less (Sex Offense and Kidnapping of a Minor) - Washington, Page 10

    10

  • Form WPF CR84.0400 JSKO Felony Judgment and Sentence - Jail One Year or Less (Sex Offense and Kidnapping of a Minor) - Washington, Page 11

    11

  • Form WPF CR84.0400 JSKO Felony Judgment and Sentence - Jail One Year or Less (Sex Offense and Kidnapping of a Minor) - Washington, Page 12

    12

  • Form WPF CR84.0400 JSKO Felony Judgment and Sentence - Jail One Year or Less (Sex Offense and Kidnapping of a Minor) - Washington, Page 13

    13

  • Form WPF CR84.0400 JSKO Felony Judgment and Sentence - Jail One Year or Less (Sex Offense and Kidnapping of a Minor) - Washington, Page 14

    14

  • Form WPF CR84.0400 JSKO Felony Judgment and Sentence - Jail One Year or Less (Sex Offense and Kidnapping of a Minor) - Washington, Page 1
  • Form WPF CR84.0400 JSKO Felony Judgment and Sentence - Jail One Year or Less (Sex Offense and Kidnapping of a Minor) - Washington, Page 2
  • Form WPF CR84.0400 JSKO Felony Judgment and Sentence - Jail One Year or Less (Sex Offense and Kidnapping of a Minor) - Washington, Page 3
  • Form WPF CR84.0400 JSKO Felony Judgment and Sentence - Jail One Year or Less (Sex Offense and Kidnapping of a Minor) - Washington, Page 4
  • Form WPF CR84.0400 JSKO Felony Judgment and Sentence - Jail One Year or Less (Sex Offense and Kidnapping of a Minor) - Washington, Page 5
  • Form WPF CR84.0400 JSKO Felony Judgment and Sentence - Jail One Year or Less (Sex Offense and Kidnapping of a Minor) - Washington, Page 6
  • Form WPF CR84.0400 JSKO Felony Judgment and Sentence - Jail One Year or Less (Sex Offense and Kidnapping of a Minor) - Washington, Page 7
  • Form WPF CR84.0400 JSKO Felony Judgment and Sentence - Jail One Year or Less (Sex Offense and Kidnapping of a Minor) - Washington, Page 8
  • Form WPF CR84.0400 JSKO Felony Judgment and Sentence - Jail One Year or Less (Sex Offense and Kidnapping of a Minor) - Washington, Page 9
  • Form WPF CR84.0400 JSKO Felony Judgment and Sentence - Jail One Year or Less (Sex Offense and Kidnapping of a Minor) - Washington, Page 10
  • Form WPF CR84.0400 JSKO Felony Judgment and Sentence - Jail One Year or Less (Sex Offense and Kidnapping of a Minor) - Washington, Page 11
  • Form WPF CR84.0400 JSKO Felony Judgment and Sentence - Jail One Year or Less (Sex Offense and Kidnapping of a Minor) - Washington, Page 12
  • Form WPF CR84.0400 JSKO Felony Judgment and Sentence - Jail One Year or Less (Sex Offense and Kidnapping of a Minor) - Washington, Page 13
  • Form WPF CR84.0400 JSKO Felony Judgment and Sentence - Jail One Year or Less (Sex Offense and Kidnapping of a Minor) - Washington, Page 14
Prev 1 2 3 4 5 ... 14 Next
ADVERTISEMENT