Form WPF CR84.0400J Felony Judgment and Sentence - Jail One Year or Less (Non Sex) (Fjs / Rjs) - Washington

Notification Icon This version of the form is not currently in use and is provided for reference only. Download this version of Form WPF CR84.0400J for the current year.

Form WPF CR84.0400J Felony Judgment and Sentence - Jail One Year or Less (Non Sex) (Fjs / Rjs) - Washington

What Is Form WPF CR84.0400J?

This is a legal form that was released by the Washington Superior Court - a government authority operating within Washington. As of today, no separate filing guidelines for the form are provided by the issuing department.

FAQ

Q: What is Form WPF CR84.0400J?
A: Form WPF CR84.0400J is the Felony Judgment and Sentence - Jail One Year or Less (Non Sex) (Fjs/Rjs) form in Washington.

Q: What is the purpose of Form WPF CR84.0400J?
A: Form WPF CR84.0400J is used to record the judgment and sentence for a felony case where the defendant is sentenced to one year or less in jail.

Q: Who is required to complete Form WPF CR84.0400J?
A: The judge or the court clerk is responsible for completing Form WPF CR84.0400J.

Q: Is Form WPF CR84.0400J specific to Washington state?
A: Yes, Form WPF CR84.0400J is specific to Washington state and is used in its court system.

Q: What types of felony cases does Form WPF CR84.0400J cover?
A: Form WPF CR84.0400J is used for felony cases that do not involve sexual offenses and where the defendant is sentenced to one year or less in jail.

ADVERTISEMENT

Form Details:

  • Released on July 1, 2021;
  • The latest edition provided by the Washington Superior Court;
  • Easy to use and ready to print;
  • Quick to customize;
  • Compatible with most PDF-viewing applications;
  • Fill out the form in our online filing application.

Download a printable version of Form WPF CR84.0400J by clicking the link below or browse more documents and templates provided by the Washington Superior Court.

Download Form WPF CR84.0400J Felony Judgment and Sentence - Jail One Year or Less (Non Sex) (Fjs / Rjs) - Washington

4.3 of 5 (17 votes)
  • Form WPF CR84.0400J Felony Judgment and Sentence - Jail One Year or Less (Non Sex) (Fjs/Rjs) - Washington

    1

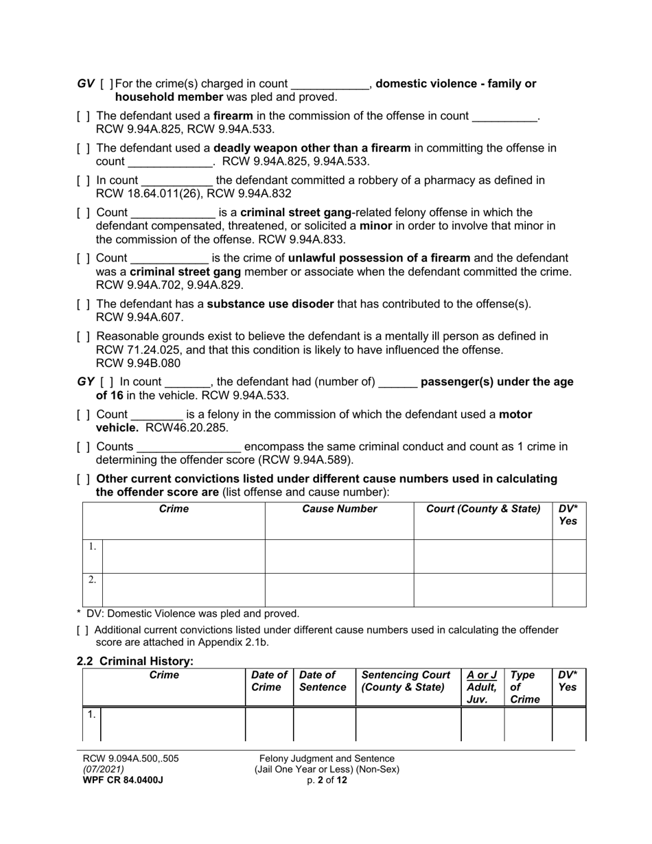
  • Form WPF CR84.0400J Felony Judgment and Sentence - Jail One Year or Less (Non Sex) (Fjs/Rjs) - Washington, Page 2

    2

  • Form WPF CR84.0400J Felony Judgment and Sentence - Jail One Year or Less (Non Sex) (Fjs/Rjs) - Washington, Page 3

    3

  • Form WPF CR84.0400J Felony Judgment and Sentence - Jail One Year or Less (Non Sex) (Fjs/Rjs) - Washington, Page 4

    4

  • Form WPF CR84.0400J Felony Judgment and Sentence - Jail One Year or Less (Non Sex) (Fjs/Rjs) - Washington, Page 5

    5

  • Form WPF CR84.0400J Felony Judgment and Sentence - Jail One Year or Less (Non Sex) (Fjs/Rjs) - Washington, Page 6

    6

  • Form WPF CR84.0400J Felony Judgment and Sentence - Jail One Year or Less (Non Sex) (Fjs/Rjs) - Washington, Page 7

    7

  • Form WPF CR84.0400J Felony Judgment and Sentence - Jail One Year or Less (Non Sex) (Fjs/Rjs) - Washington, Page 8

    8

  • Form WPF CR84.0400J Felony Judgment and Sentence - Jail One Year or Less (Non Sex) (Fjs/Rjs) - Washington, Page 9

    9

  • Form WPF CR84.0400J Felony Judgment and Sentence - Jail One Year or Less (Non Sex) (Fjs/Rjs) - Washington, Page 10

    10

  • Form WPF CR84.0400J Felony Judgment and Sentence - Jail One Year or Less (Non Sex) (Fjs/Rjs) - Washington, Page 11

    11

  • Form WPF CR84.0400J Felony Judgment and Sentence - Jail One Year or Less (Non Sex) (Fjs/Rjs) - Washington, Page 12

    12

  • Form WPF CR84.0400J Felony Judgment and Sentence - Jail One Year or Less (Non Sex) (Fjs / Rjs) - Washington, Page 1
  • Form WPF CR84.0400J Felony Judgment and Sentence - Jail One Year or Less (Non Sex) (Fjs / Rjs) - Washington, Page 2
  • Form WPF CR84.0400J Felony Judgment and Sentence - Jail One Year or Less (Non Sex) (Fjs / Rjs) - Washington, Page 3
  • Form WPF CR84.0400J Felony Judgment and Sentence - Jail One Year or Less (Non Sex) (Fjs / Rjs) - Washington, Page 4
  • Form WPF CR84.0400J Felony Judgment and Sentence - Jail One Year or Less (Non Sex) (Fjs / Rjs) - Washington, Page 5
  • Form WPF CR84.0400J Felony Judgment and Sentence - Jail One Year or Less (Non Sex) (Fjs / Rjs) - Washington, Page 6
  • Form WPF CR84.0400J Felony Judgment and Sentence - Jail One Year or Less (Non Sex) (Fjs / Rjs) - Washington, Page 7
  • Form WPF CR84.0400J Felony Judgment and Sentence - Jail One Year or Less (Non Sex) (Fjs / Rjs) - Washington, Page 8
  • Form WPF CR84.0400J Felony Judgment and Sentence - Jail One Year or Less (Non Sex) (Fjs / Rjs) - Washington, Page 9
  • Form WPF CR84.0400J Felony Judgment and Sentence - Jail One Year or Less (Non Sex) (Fjs / Rjs) - Washington, Page 10
  • Form WPF CR84.0400J Felony Judgment and Sentence - Jail One Year or Less (Non Sex) (Fjs / Rjs) - Washington, Page 11
  • Form WPF CR84.0400J Felony Judgment and Sentence - Jail One Year or Less (Non Sex) (Fjs / Rjs) - Washington, Page 12
Prev 1 2 3 4 5 ... 12 Next
ADVERTISEMENT