Form RR01.0100 Petition for Relief From the Duty to Register / Exemption From Community Notification (Pt) - Washington

Form RR01.0100 Petition for Relief From the Duty to Register / Exemption From Community Notification (Pt) - Washington

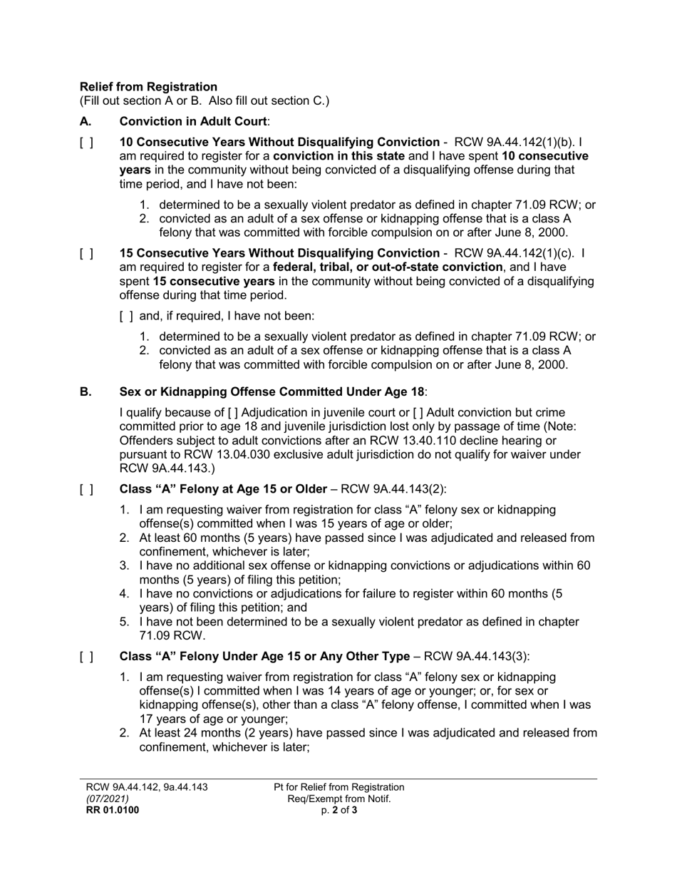
What Is Form RR01.0100?

This is a legal form that was released by the Washington Superior Court - a government authority operating within Washington. As of today, no separate filing guidelines for the form are provided by the issuing department.

FAQ

Q: What is Form RR01.0100?
A: Form RR01.0100 is a Petition for Relief From the Duty to Register/Exemption From Community Notification in Washington.

Q: What is the purpose of Form RR01.0100?
A: The purpose of Form RR01.0100 is to request relief from the duty to register or seek exemption from community notification requirements in Washington.

Q: Who can use Form RR01.0100?
A: Any individual who is required to register as a sex offender in Washington can use Form RR01.0100 to request relief or exemption.

Q: What information is required in Form RR01.0100?
A: Form RR01.0100 requires information about the petitioner, details about the conviction requiring registration, and reasons for seeking relief or exemption.

Q: Are there any fees associated with submitting Form RR01.0100?
A: There are no fees associated with submitting Form RR01.0100.

Q: What happens after submitting Form RR01.0100?
A: After submitting Form RR01.0100, the petitioner's request for relief or exemption will be reviewed by the court or a designated agency.

Q: Is legal representation required to submit Form RR01.0100?
A: Legal representation is not required to submit Form RR01.0100, but it may be beneficial to consult with an attorney for guidance.

Q: How long does it take to receive a decision on Form RR01.0100?
A: The time taken to receive a decision on Form RR01.0100 can vary, and it is best to contact the court or agency for an estimated timeframe.

ADVERTISEMENT

Form Details:

  • Released on July 1, 2021;
  • The latest edition provided by the Washington Superior Court;
  • Easy to use and ready to print;
  • Quick to customize;
  • Compatible with most PDF-viewing applications;
  • Fill out the form in our online filing application.

Download a printable version of Form RR01.0100 by clicking the link below or browse more documents and templates provided by the Washington Superior Court.

Download Form RR01.0100 Petition for Relief From the Duty to Register / Exemption From Community Notification (Pt) - Washington

4.7 of 5 (25 votes)
  • Form RR01.0100 Petition for Relief From the Duty to Register/Exemption From Community Notification (Pt) - Washington

    1

  • Form RR01.0100 Petition for Relief From the Duty to Register/Exemption From Community Notification (Pt) - Washington, Page 2

    2

  • Form RR01.0100 Petition for Relief From the Duty to Register/Exemption From Community Notification (Pt) - Washington, Page 3

    3

  • Form RR01.0100 Petition for Relief From the Duty to Register / Exemption From Community Notification (Pt) - Washington, Page 1
  • Form RR01.0100 Petition for Relief From the Duty to Register / Exemption From Community Notification (Pt) - Washington, Page 2
  • Form RR01.0100 Petition for Relief From the Duty to Register / Exemption From Community Notification (Pt) - Washington, Page 3
Prev 1 2 3 Next
ADVERTISEMENT