DCM Form B-7 Checklist - Preparation and Approval of Construction Contracts and Bonds Submitted on Paper - Alabama

Notification Icon This version of the form is not currently in use and is provided for reference only. Download this version of DCM Form B-7 for the current year.

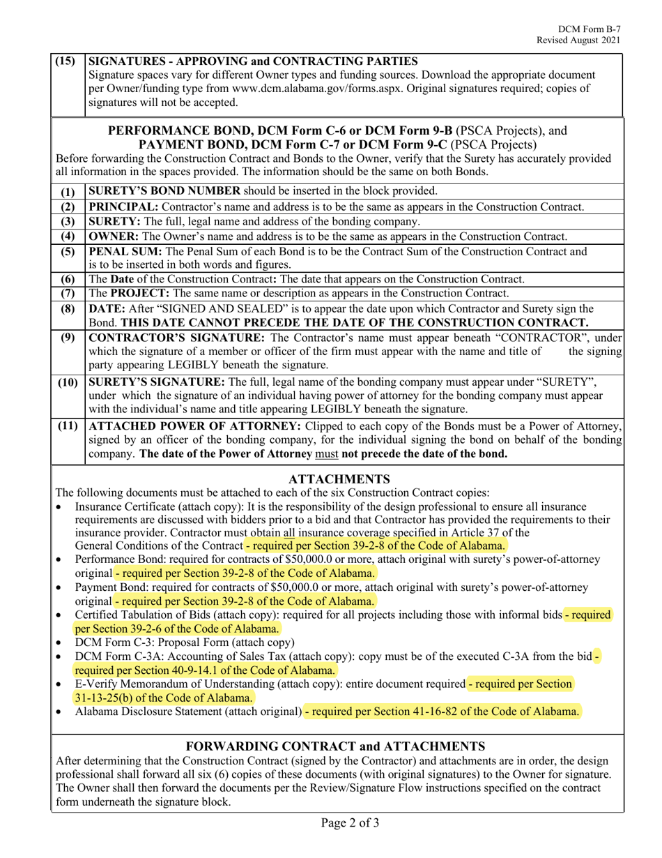
DCM Form B-7 Checklist - Preparation and Approval of Construction Contracts and Bonds Submitted on Paper - Alabama

What Is DCM Form B-7?

This is a legal form that was released by the Alabama Department of Finance, Real Property Management - Division of Construction Management - a government authority operating within Alabama. As of today, no separate filing guidelines for the form are provided by the issuing department.

FAQ

Q: What is DCM Form B-7?
A: DCM Form B-7 is a checklist for the preparation and approval of construction contracts and bonds submitted on paper in Alabama.

Q: What is the purpose of DCM Form B-7?
A: The purpose of DCM Form B-7 is to ensure that all necessary information and documents are included when submitting construction contracts and bonds on paper in Alabama.

Q: Who needs to use DCM Form B-7?
A: Anyone who is preparing and submitting construction contracts and bonds on paper in Alabama needs to use DCM Form B-7.

Q: What should be included in the submission?
A: The submission should include the completed DCM Form B-7, the original contract, the original bond, power of attorney, and any other required documents.

ADVERTISEMENT

Form Details:

  • Released on August 1, 2021;
  • The latest edition provided by the Alabama Department of Finance, Real Property Management - Division of Construction Management;
  • Easy to use and ready to print;
  • Quick to customize;
  • Compatible with most PDF-viewing applications;
  • Fill out the form in our online filing application.

Download a printable version of DCM Form B-7 by clicking the link below or browse more documents and templates provided by the Alabama Department of Finance, Real Property Management - Division of Construction Management.

Download DCM Form B-7 Checklist - Preparation and Approval of Construction Contracts and Bonds Submitted on Paper - Alabama

4.7 of 5 (7 votes)
  • DCM Form B-7 Checklist - Preparation and Approval of Construction Contracts and Bonds Submitted on Paper - Alabama

    1

  • DCM Form B-7 Checklist - Preparation and Approval of Construction Contracts and Bonds Submitted on Paper - Alabama, Page 2

    2

  • DCM Form B-7 Checklist - Preparation and Approval of Construction Contracts and Bonds Submitted on Paper - Alabama, Page 3

    3

  • DCM Form B-7 Checklist - Preparation and Approval of Construction Contracts and Bonds Submitted on Paper - Alabama, Page 1
  • DCM Form B-7 Checklist - Preparation and Approval of Construction Contracts and Bonds Submitted on Paper - Alabama, Page 2
  • DCM Form B-7 Checklist - Preparation and Approval of Construction Contracts and Bonds Submitted on Paper - Alabama, Page 3
Prev 1 2 3 Next
ADVERTISEMENT