Board of Public Works Annual Report: Car Lines - West Virginia

Board of Public Works Annual Report: Car Lines - West Virginia

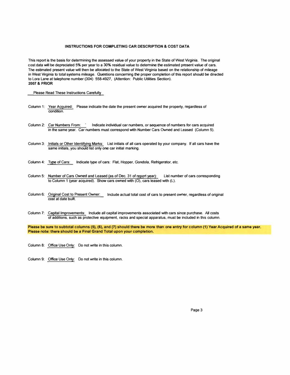
Board of Public Works Annual Report: Car Lines is a legal document that was released by the West Virginia State Tax Department - a government authority operating within West Virginia.

FAQ

Q: What is the Board of Public Works?
A: The Board of Public Works is a government entity responsible for overseeing various public works projects and services.

Q: What is the Annual Report?
A: The Annual Report is a document that provides an overview of the activities and achievements of the Board of Public Works over the course of a year.

Q: What is covered in the Car Lines section of the Annual Report?
A: The Car Lines section of the Annual Report focuses on the operations and performance of the various public transportation systems in West Virginia.

Q: What are Car Lines?
A: Car Lines refer to the public transportation systems, such as buses, trams, and trolleys, that operate in West Virginia.

Q: What information does the Annual Report provide about Car Lines?
A: The Annual Report provides information on the number of riders, routes, schedules, and any significant developments or improvements related to the Car Lines in West Virginia.

Q: Why is the Car Lines section important?
A: The Car Lines section is important as it provides an assessment of the public transportation services in West Virginia and helps identify areas of improvement or investment.

ADVERTISEMENT

Form Details:

  • Released on February 1, 2021;
  • The latest edition currently provided by the West Virginia State Tax Department;
  • Ready to use and print;
  • Easy to customize;
  • Compatible with most PDF-viewing applications;
  • Fill out the form in our online filing application.

Download a printable version of the form by clicking the link below or browse more documents and templates provided by the West Virginia State Tax Department.

Download Board of Public Works Annual Report: Car Lines - West Virginia

4.6 of 5 (9 votes)
  • Board of Public Works Annual Report: Car Lines - West Virginia

    1

  • Board of Public Works Annual Report: Car Lines - West Virginia, Page 2

    2

  • Board of Public Works Annual Report: Car Lines - West Virginia, Page 3

    3

  • Board of Public Works Annual Report: Car Lines - West Virginia, Page 4

    4

  • Board of Public Works Annual Report: Car Lines - West Virginia, Page 5

    5

  • Board of Public Works Annual Report: Car Lines - West Virginia, Page 6

    6

  • Board of Public Works Annual Report: Car Lines - West Virginia, Page 7

    7

  • Board of Public Works Annual Report: Car Lines - West Virginia, Page 8

    8

  • Board of Public Works Annual Report: Car Lines - West Virginia, Page 1
  • Board of Public Works Annual Report: Car Lines - West Virginia, Page 2
  • Board of Public Works Annual Report: Car Lines - West Virginia, Page 3
  • Board of Public Works Annual Report: Car Lines - West Virginia, Page 4
  • Board of Public Works Annual Report: Car Lines - West Virginia, Page 5
  • Board of Public Works Annual Report: Car Lines - West Virginia, Page 6
  • Board of Public Works Annual Report: Car Lines - West Virginia, Page 7
  • Board of Public Works Annual Report: Car Lines - West Virginia, Page 8
Prev 1 2 3 4 5 ... 8 Next
ADVERTISEMENT