Instructions for Form DEO-1659 Migrant and Seasonal Farmworkers Outreach Services Report - Florida

Instructions for Form DEO-1659 Migrant and Seasonal Farmworkers Outreach Services Report - Florida

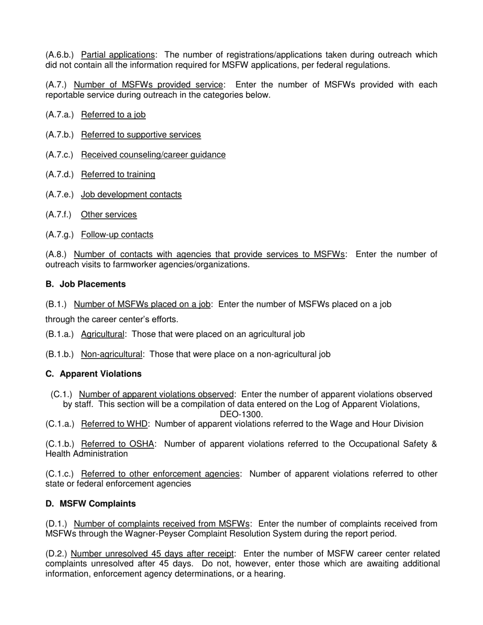
This document contains official instructions for Form DEO-1659 , Migrant and Seasonal Farmworkers Outreach Services Report - a form released and collected by the Florida Department of Economic Opportunity. An up-to-date fillable Form DEO-1659 is available for download through this link.

FAQ

Q: What is Form DEO-1659?
A: Form DEO-1659 is a reporting form for Migrant and Seasonal Farmworkers Outreach Services in Florida.

Q: Who needs to fill out Form DEO-1659?
A: Migrant and Seasonal Farmworkers Outreach Services providers in Florida need to fill out Form DEO-1659.

Q: What is the purpose of Form DEO-1659?
A: The purpose of Form DEO-1659 is to report information about outreach services provided to migrant and seasonal farmworkers in Florida.

Q: What information is required on Form DEO-1659?
A: Form DEO-1659 requires information about the number of individuals served, types of services provided, and the outcomes of those services.

Q: When is the deadline to submit Form DEO-1659?
A: The deadline to submit Form DEO-1659 is typically specified by the Florida Department of Economic Opportunity (DEO) and may vary.

Q: Are there any penalties for not submitting Form DEO-1659?
A: Failure to submit Form DEO-1659 or providing false information may result in penalties or consequences determined by the Florida Department of Economic Opportunity (DEO).

Q: Can I get assistance in filling out Form DEO-1659?
A: Yes, you can contact the Florida Department of Economic Opportunity (DEO) for assistance in filling out Form DEO-1659.

Q: Is Form DEO-1659 only applicable to Florida?
A: Yes, Form DEO-1659 is specific to the state of Florida and its requirements for Migrant and Seasonal Farmworkers Outreach Services reporting.

ADVERTISEMENT

Instruction Details:

  • This 2-page document is available for download in PDF;
  • Actual and applicable for the current year;
  • Complete, printable, and free.

Download your copy of the instructions by clicking the link below or browse hundreds of other forms in our library of forms released by the Florida Department of Economic Opportunity.

Download Instructions for Form DEO-1659 Migrant and Seasonal Farmworkers Outreach Services Report - Florida

4.6 of 5 (14 votes)
  • Instructions for Form DEO-1659 Migrant and Seasonal Farmworkers Outreach Services Report - Florida

    1

  • Instructions for Form DEO-1659 Migrant and Seasonal Farmworkers Outreach Services Report - Florida, Page 2

    2

  • Instructions for Form DEO-1659 Migrant and Seasonal Farmworkers Outreach Services Report - Florida, Page 1
  • Instructions for Form DEO-1659 Migrant and Seasonal Farmworkers Outreach Services Report - Florida, Page 2
Prev 1 2 Next
ADVERTISEMENT