Form STD.99 Report of Crime or Criminally Caused Property Damage on State Property - California

Form STD.99 Report of Crime or Criminally Caused Property Damage on State Property - California

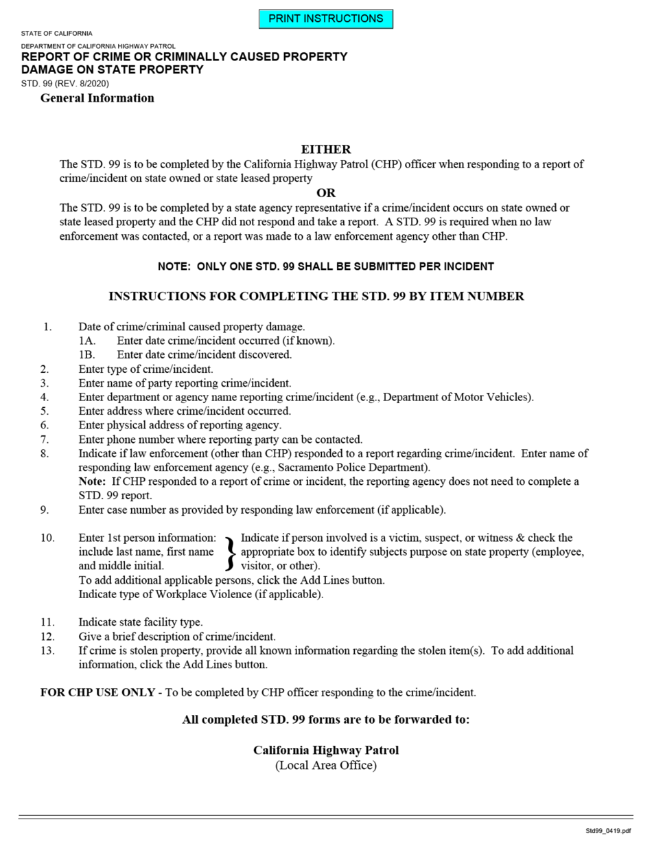
What Is Form STD.99?

This is a legal form that was released by the California Highway Patrol - a government authority operating within California. As of today, no separate filing guidelines for the form are provided by the issuing department.

FAQ

Q: What is Form STD.99?
A: Form STD.99 is a report used to document a crime or criminally caused property damage on state property in California.

Q: Who uses Form STD.99?
A: Form STD.99 is used by state agencies and employees who need to report crimes or property damage on state property.

Q: What information is required on Form STD.99?
A: Form STD.99 requires information such as the nature of the crime or damage, the location of the incident, and any witnesses or suspects involved.

Q: When should Form STD.99 be submitted?
A: Form STD.99 should be submitted as soon as possible after the crime or property damage has occurred.

Q: Is Form STD.99 confidential?
A: Yes, Form STD.99 is considered confidential and should only be shared with authorized individuals or agencies.

ADVERTISEMENT

Form Details:

  • Released on August 1, 2020;
  • The latest edition provided by the California Highway Patrol;
  • Easy to use and ready to print;
  • Quick to customize;
  • Compatible with most PDF-viewing applications;
  • Fill out the form in our online filing application.

Download a fillable version of Form STD.99 by clicking the link below or browse more documents and templates provided by the California Highway Patrol.

Download Form STD.99 Report of Crime or Criminally Caused Property Damage on State Property - California

4.8 of 5 (24 votes)
  • Form STD.99 Report of Crime or Criminally Caused Property Damage on State Property - California

    1

  • Form STD.99 Report of Crime or Criminally Caused Property Damage on State Property - California, Page 2

    2

  • Form STD.99 Report of Crime or Criminally Caused Property Damage on State Property - California, Page 1
  • Form STD.99 Report of Crime or Criminally Caused Property Damage on State Property - California, Page 2
Prev 1 2 Next
ADVERTISEMENT