Rural Finance Authority Standard Loan Agreement and Note for Rfa Loan Participation Programs - Minnesota

Rural Finance Authority Standard Loan Agreement and Note for Rfa Loan Participation Programs - Minnesota

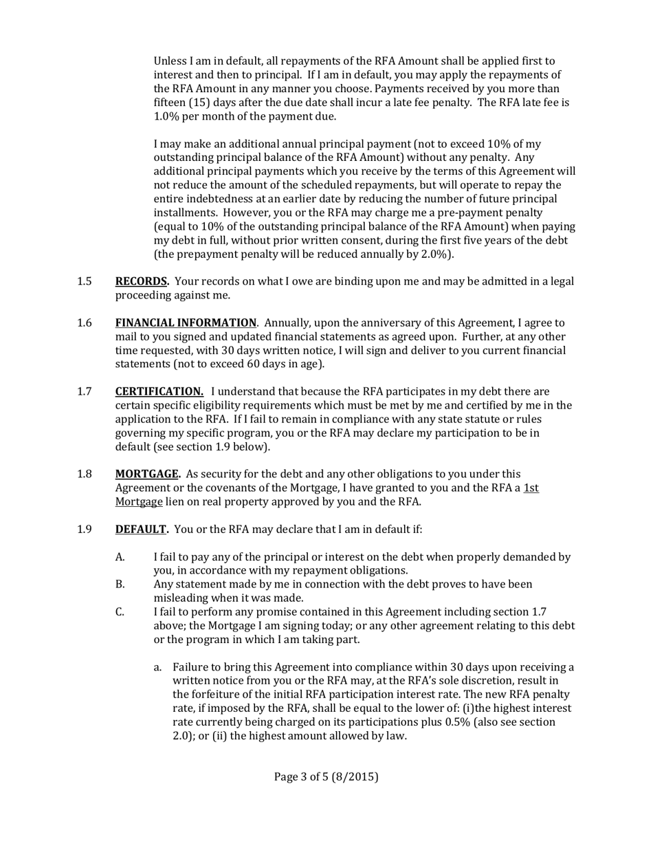
Rural Finance Authority Standard Loan Agreement and Note for Rfa Loan Participation Programs is a legal document that was released by the Minnesota Department of Agriculture - a government authority operating within Minnesota.

FAQ

Q: What is the Rural Finance Authority?
A: The Rural Finance Authority (RFA) is a program in Minnesota that provides financing support to farmers, agricultural producers, and rural communities.

Q: What is the Standard Loan Agreement and Note for RFA Loan Participation Programs?
A: The Standard Loan Agreement and Note is a legal document used by the RFA for its loan participation programs. It outlines the terms and conditions of the loan.

Q: Who can participate in RFA loan programs?
A: Farmers, agricultural producers, and rural communities in Minnesota can participate in RFA loan programs.

Q: What is the purpose of RFA loan programs?
A: The purpose of RFA loan programs is to provide affordable financing options to support the agricultural industry and rural development in Minnesota.

Q: What are the eligibility criteria for RFA loans?
A: Eligibility criteria for RFA loans vary depending on the specific program. Generally, applicants must meet certain agricultural or rural development criteria and demonstrate a need for financial assistance.

Q: Are RFA loans only for agricultural purposes?
A: No, RFA loans can be used for a variety of purposes, including but not limited to agricultural production, land purchase, equipment purchase, and facility improvement.

Q: How can I apply for an RFA loan?
A: To apply for an RFA loan, you can contact the Rural Finance Authority directly or work with a participating lender that offers RFA loan programs.

Q: What is the interest rate for RFA loans?
A: The interest rate for RFA loans may vary depending on the program and current market conditions. It is best to inquire with the RFA or participating lenders for the most accurate information.

Q: Are RFA loans available for businesses outside of agriculture?
A: RFA loans primarily focus on financing for agricultural purposes. However, certain programs may provide support to rural businesses outside of agriculture as well. It is advisable to inquire with the RFA for specific details.

Q: What other services does the Rural Finance Authority provide?
A: Apart from loan programs, the Rural Finance Authority may offer other services such as loan guarantees, financial counseling, and technical assistance to borrowers.

ADVERTISEMENT

Form Details:

  • Released on August 1, 2015;
  • The latest edition currently provided by the Minnesota Department of Agriculture;
  • Ready to use and print;
  • Easy to customize;
  • Compatible with most PDF-viewing applications;
  • Fill out the form in our online filing application.

Download a fillable version of the form by clicking the link below or browse more documents and templates provided by the Minnesota Department of Agriculture.

Download Rural Finance Authority Standard Loan Agreement and Note for Rfa Loan Participation Programs - Minnesota

4.4 of 5 (16 votes)
  • Rural Finance Authority Standard Loan Agreement and Note for Rfa Loan Participation Programs - Minnesota

    1

  • Rural Finance Authority Standard Loan Agreement and Note for Rfa Loan Participation Programs - Minnesota, Page 2

    2

  • Rural Finance Authority Standard Loan Agreement and Note for Rfa Loan Participation Programs - Minnesota, Page 3

    3

  • Rural Finance Authority Standard Loan Agreement and Note for Rfa Loan Participation Programs - Minnesota, Page 4

    4

  • Rural Finance Authority Standard Loan Agreement and Note for Rfa Loan Participation Programs - Minnesota, Page 5

    5

  • Rural Finance Authority Standard Loan Agreement and Note for Rfa Loan Participation Programs - Minnesota, Page 1
  • Rural Finance Authority Standard Loan Agreement and Note for Rfa Loan Participation Programs - Minnesota, Page 2
  • Rural Finance Authority Standard Loan Agreement and Note for Rfa Loan Participation Programs - Minnesota, Page 3
  • Rural Finance Authority Standard Loan Agreement and Note for Rfa Loan Participation Programs - Minnesota, Page 4
  • Rural Finance Authority Standard Loan Agreement and Note for Rfa Loan Participation Programs - Minnesota, Page 5
Prev 1 2 3 4 5 Next
ADVERTISEMENT