Forme E656 Partie II Programme D'autocotisation DES Douanes Demande De Participation Du Transporteur - Canada (French)

Forme E656 Partie II Programme D'autocotisation DES Douanes Demande De Participation Du Transporteur - Canada (French)

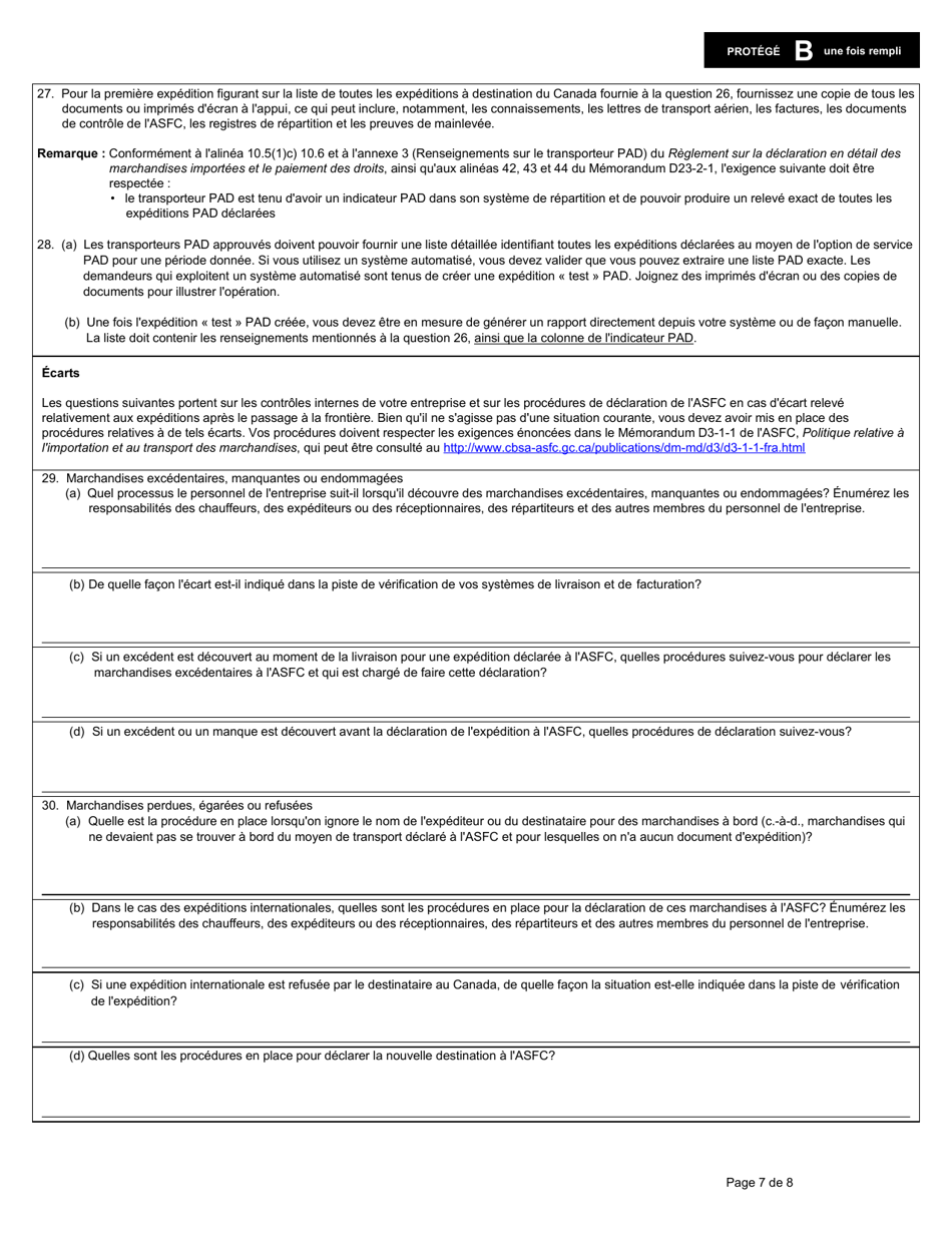
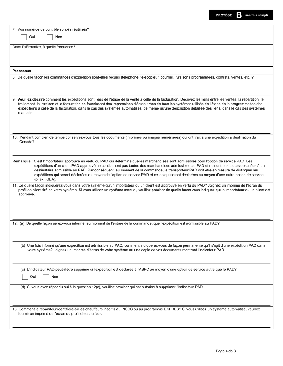
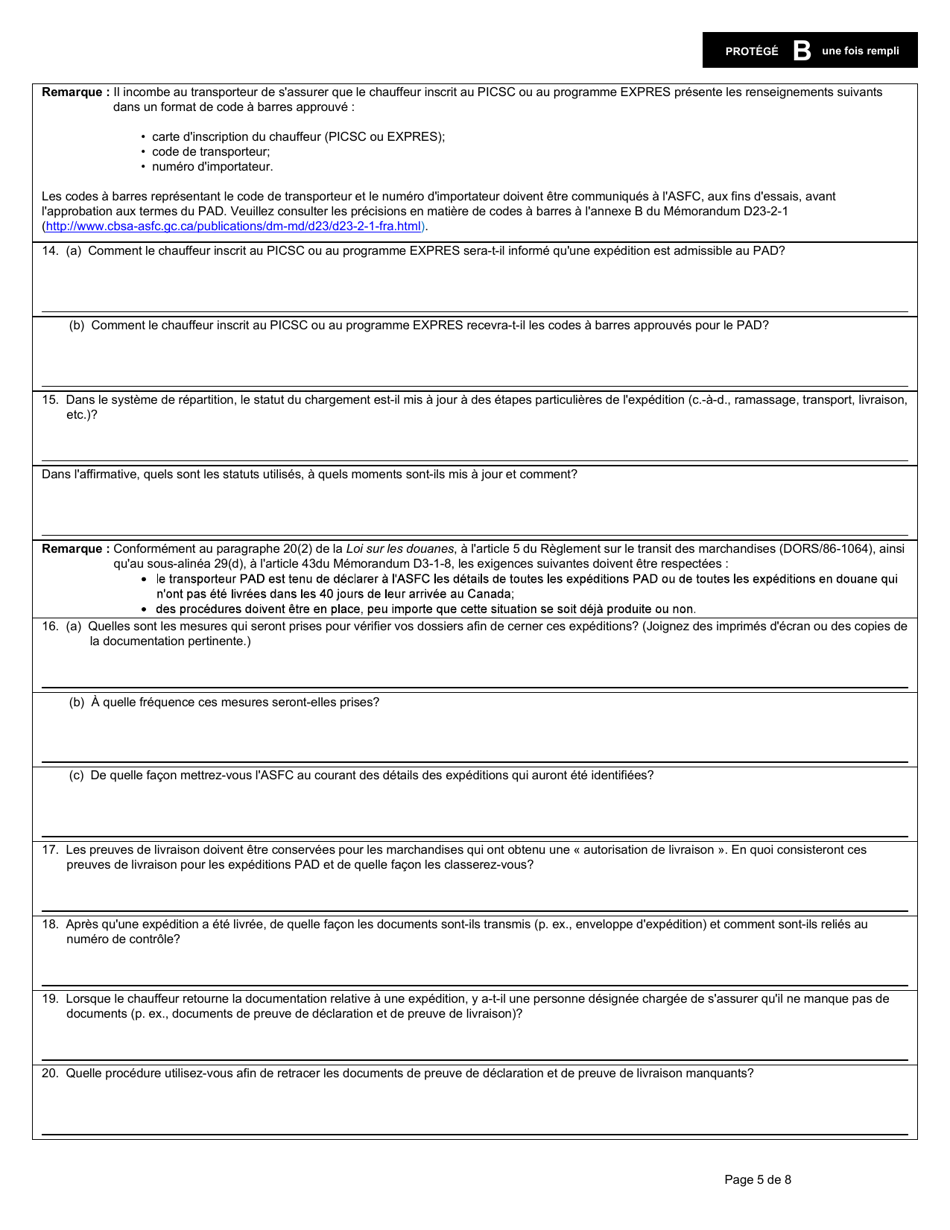
"Forme E656 Partie II Programme D'autocotisation DES Douanes Demande De Participation Du Transporteur" is a Canadian customs self-assessment program application form for participation by the carrier. It is used by carriers to apply for participation in the customs self-assessment program in Canada. This program allows approved carriers to account for their imported goods directly to the Canada Border Services Agency (CBSA) instead of them being processed at the border.

The Form E656 Partie II Programme d'Autocotisation des Douanes Demande de Participation du Transporteur is filed by the transporters in Canada.

FAQ

Q: What is the Form E656 Partie II?
A: The Form E656 Partie II is a program for self-assessment of customs duties in Canada.

Q: What is the purpose of the Form E656 Partie II?
A: The purpose of the Form E656 Partie II is to request participation from the carrier in the self-assessment program.

Q: Who is eligible to participate in the Form E656 Partie II program?
A: Transporters in Canada are eligible to participate in the Form E656 Partie II program.

Q: What is the significance of the self-assessment program?
A: The self-assessment program allows carriers to assess their own customs duties.

Q: How can a carrier apply for participation in the Form E656 Partie II program?
A: Carriers can apply for participation in the Form E656 Partie II program by completing the necessary form and submitting it to the customs authorities.

Q: Is the Form E656 Partie II available only in French?
A: Yes, the Form E656 Partie II is available only in French.

ADVERTISEMENT

Download Forme E656 Partie II Programme D'autocotisation DES Douanes Demande De Participation Du Transporteur - Canada (French)

4.7 of 5 (18 votes)
  • Forme E656 Partie II Programme D'autocotisation DES Douanes Demande De Participation Du Transporteur - Canada (French)

    1

  • Forme E656 Partie II Programme D'autocotisation DES Douanes Demande De Participation Du Transporteur - Canada (French), Page 2

    2

  • Forme E656 Partie II Programme D'autocotisation DES Douanes Demande De Participation Du Transporteur - Canada (French), Page 3

    3

  • Forme E656 Partie II Programme D'autocotisation DES Douanes Demande De Participation Du Transporteur - Canada (French), Page 4

    4

  • Forme E656 Partie II Programme D'autocotisation DES Douanes Demande De Participation Du Transporteur - Canada (French), Page 5

    5

  • Forme E656 Partie II Programme D'autocotisation DES Douanes Demande De Participation Du Transporteur - Canada (French), Page 6

    6

  • Forme E656 Partie II Programme D'autocotisation DES Douanes Demande De Participation Du Transporteur - Canada (French), Page 7

    7

  • Forme E656 Partie II Programme D'autocotisation DES Douanes Demande De Participation Du Transporteur - Canada (French), Page 8

    8

  • Forme E656 Partie II Programme Dautocotisation DES Douanes Demande De Participation Du Transporteur - Canada (French), Page 1
  • Forme E656 Partie II Programme Dautocotisation DES Douanes Demande De Participation Du Transporteur - Canada (French), Page 2
  • Forme E656 Partie II Programme Dautocotisation DES Douanes Demande De Participation Du Transporteur - Canada (French), Page 3
  • Forme E656 Partie II Programme Dautocotisation DES Douanes Demande De Participation Du Transporteur - Canada (French), Page 4
  • Forme E656 Partie II Programme Dautocotisation DES Douanes Demande De Participation Du Transporteur - Canada (French), Page 5
  • Forme E656 Partie II Programme Dautocotisation DES Douanes Demande De Participation Du Transporteur - Canada (French), Page 6
  • Forme E656 Partie II Programme Dautocotisation DES Douanes Demande De Participation Du Transporteur - Canada (French), Page 7
  • Forme E656 Partie II Programme Dautocotisation DES Douanes Demande De Participation Du Transporteur - Canada (French), Page 8
Prev 1 2 3 4 5 ... 8 Next
ADVERTISEMENT