Form SS-3041 Certificate of Restoration of Voting Rights for Persons Convicted of a Felony on or After May 18, 1981 - Tennessee

Notification Icon This version of the form is not currently in use and is provided for reference only. Download this version of Form SS-3041 for the current year.

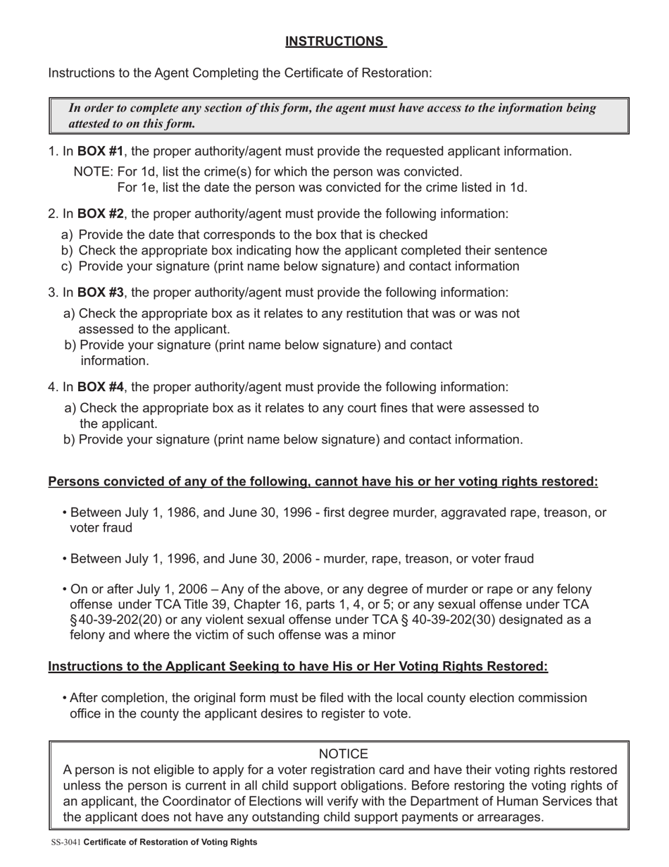
Form SS-3041 Certificate of Restoration of Voting Rights for Persons Convicted of a Felony on or After May 18, 1981 - Tennessee

What Is Form SS-3041?

This is a legal form that was released by the Tennessee Secretary of State - a government authority operating within Tennessee. As of today, no separate filing guidelines for the form are provided by the issuing department.

FAQ

Q: What is Form SS-3041?
A: Form SS-3041 is the Certificate of Restoration of Voting Rights for Persons Convicted of a Felony on or After May 18, 1981 in Tennessee.

Q: Who is eligible to use Form SS-3041?
A: Persons who have been convicted of a felony on or after May 18, 1981 in Tennessee are eligible to use Form SS-3041.

Q: What is the purpose of Form SS-3041?
A: The purpose of Form SS-3041 is to apply for the restoration of voting rights for individuals convicted of a felony on or after May 18, 1981 in Tennessee.

Q: What information is required on Form SS-3041?
A: Form SS-3041 requires information such as personal details, conviction information, and contact information.

Q: Is there a fee to submit Form SS-3041?
A: No, there is no fee to submit Form SS-3041.

Q: Do I need any supporting documents to submit with Form SS-3041?
A: Yes, you will need to provide a copy of your certificate of discharge or other documents showing that you have completed your sentence.

Q: What happens after I submit Form SS-3041?
A: Once your Form SS-3041 is received and processed, you will receive a Certificate of Restoration of Voting Rights if you are eligible.

Q: Can I register to vote immediately after receiving the Certificate of Restoration of Voting Rights?
A: Yes, you can register to vote immediately after receiving the Certificate of Restoration of Voting Rights.

ADVERTISEMENT

Form Details:

  • Released on March 1, 2020;
  • The latest edition provided by the Tennessee Secretary of State;
  • Easy to use and ready to print;
  • Quick to customize;
  • Compatible with most PDF-viewing applications;
  • Fill out the form in our online filing application.

Download a printable version of Form SS-3041 by clicking the link below or browse more documents and templates provided by the Tennessee Secretary of State.

Download Form SS-3041 Certificate of Restoration of Voting Rights for Persons Convicted of a Felony on or After May 18, 1981 - Tennessee

4.3 of 5 (14 votes)
  • Form SS-3041 Certificate of Restoration of Voting Rights for Persons Convicted of a Felony on or After May 18, 1981 - Tennessee

    1

  • Form SS-3041 Certificate of Restoration of Voting Rights for Persons Convicted of a Felony on or After May 18, 1981 - Tennessee, Page 2

    2

  • Form SS-3041 Certificate of Restoration of Voting Rights for Persons Convicted of a Felony on or After May 18, 1981 - Tennessee, Page 1
  • Form SS-3041 Certificate of Restoration of Voting Rights for Persons Convicted of a Felony on or After May 18, 1981 - Tennessee, Page 2
Prev 1 2 Next
ADVERTISEMENT