Attachment A Odfw Osha Respirator Medical Evaluation Questionnaire - Oregon

Attachment A Odfw Osha Respirator Medical Evaluation Questionnaire - Oregon

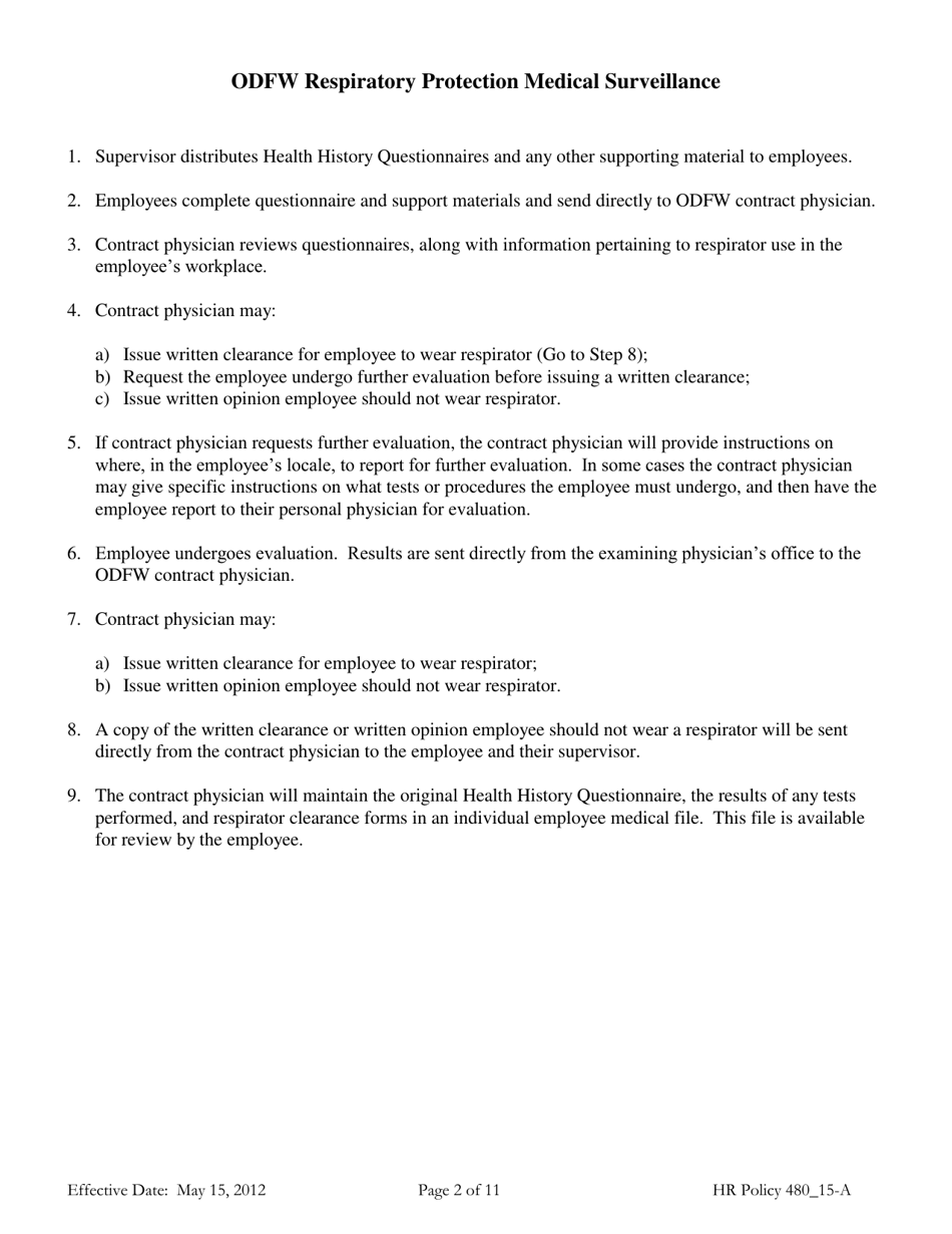
What Is Attachment A?

This is a legal form that was released by the Oregon Department of Fish and Wildlife - a government authority operating within Oregon. As of today, no separate filing guidelines for the form are provided by the issuing department.

FAQ

Q: What is the purpose of the ODFW OSHA Respirator Medical Evaluation Questionnaire?
A: The purpose of the questionnaire is to evaluate if an individual is medically fit to wear a respirator.

Q: Who needs to complete the ODFW OSHA Respirator Medical Evaluation Questionnaire?
A: Anyone who is required to wear a respirator at ODFW needs to complete the questionnaire.

Q: Is completing the ODFW OSHA Respirator Medical Evaluation Questionnaire mandatory?
A: Yes, it is mandatory for individuals who need to wear a respirator at ODFW.

Q: What happens if I am not medically fit to wear a respirator?
A: If you are not medically fit to wear a respirator, alternative arrangements will be made for your work assignments.

ADVERTISEMENT

Form Details:

  • Released on May 15, 2012;
  • The latest edition provided by the Oregon Department of Fish and Wildlife;
  • Easy to use and ready to print;
  • Quick to customize;
  • Compatible with most PDF-viewing applications;
  • Fill out the form in our online filing application.

Download a printable version of Attachment A by clicking the link below or browse more documents and templates provided by the Oregon Department of Fish and Wildlife.

Download Attachment A Odfw Osha Respirator Medical Evaluation Questionnaire - Oregon

4.9 of 5 (7 votes)
  • Attachment A Odfw Osha Respirator Medical Evaluation Questionnaire - Oregon

    1

  • Attachment A Odfw Osha Respirator Medical Evaluation Questionnaire - Oregon, Page 2

    2

  • Attachment A Odfw Osha Respirator Medical Evaluation Questionnaire - Oregon, Page 3

    3

  • Attachment A Odfw Osha Respirator Medical Evaluation Questionnaire - Oregon, Page 4

    4

  • Attachment A Odfw Osha Respirator Medical Evaluation Questionnaire - Oregon, Page 5

    5

  • Attachment A Odfw Osha Respirator Medical Evaluation Questionnaire - Oregon, Page 6

    6

  • Attachment A Odfw Osha Respirator Medical Evaluation Questionnaire - Oregon, Page 7

    7

  • Attachment A Odfw Osha Respirator Medical Evaluation Questionnaire - Oregon, Page 8

    8

  • Attachment A Odfw Osha Respirator Medical Evaluation Questionnaire - Oregon, Page 9

    9

  • Attachment A Odfw Osha Respirator Medical Evaluation Questionnaire - Oregon, Page 10

    10

  • Attachment A Odfw Osha Respirator Medical Evaluation Questionnaire - Oregon, Page 11

    11

  • Attachment A Odfw Osha Respirator Medical Evaluation Questionnaire - Oregon, Page 1
  • Attachment A Odfw Osha Respirator Medical Evaluation Questionnaire - Oregon, Page 2
  • Attachment A Odfw Osha Respirator Medical Evaluation Questionnaire - Oregon, Page 3
  • Attachment A Odfw Osha Respirator Medical Evaluation Questionnaire - Oregon, Page 4
  • Attachment A Odfw Osha Respirator Medical Evaluation Questionnaire - Oregon, Page 5
  • Attachment A Odfw Osha Respirator Medical Evaluation Questionnaire - Oregon, Page 6
  • Attachment A Odfw Osha Respirator Medical Evaluation Questionnaire - Oregon, Page 7
  • Attachment A Odfw Osha Respirator Medical Evaluation Questionnaire - Oregon, Page 8
  • Attachment A Odfw Osha Respirator Medical Evaluation Questionnaire - Oregon, Page 9
  • Attachment A Odfw Osha Respirator Medical Evaluation Questionnaire - Oregon, Page 10
  • Attachment A Odfw Osha Respirator Medical Evaluation Questionnaire - Oregon, Page 11
Prev 1 2 3 4 5 ... 11 Next
ADVERTISEMENT