SEC Form 0486 (1-A) Regulation a Offering Statement Under the Securities Act of 1933

SEC Form 0486 (1-A) Regulation a Offering Statement Under the Securities Act of 1933

What Is SEC Form 0486 (1-A)?

This is a legal form that was released by the U.S. Securities and Exchange Commission on March 1, 2021 and used country-wide. As of today, no separate filing guidelines for the form are provided by the issuing department.

FAQ

Q: What is SEC Form 0486 (1-A)?
A: SEC Form 0486 (1-A) is a form used for filing an offering statement under the Securities Act of 1933.

Q: What is the Securities Act of 1933?
A: The Securities Act of 1933 is a federal law that regulates the offer and sale of securities to protect investors.

Q: Who needs to file SEC Form 0486 (1-A)?
A: Companies that want to sell securities to the public in an exempt offering under Regulation A of the Securities Act of 1933 must file SEC Form 0486 (1-A).

Q: What is Regulation A?
A: Regulation A is an exemption from registration requirements under the Securities Act of 1933 that allows companies to offer and sell securities to the public with lower regulatory requirements than a traditional initial public offering (IPO).

Q: What information is required in SEC Form 0486 (1-A)?
A: SEC Form 0486 (1-A) requires companies to provide information such as the purpose of the offering, risks associated with the investment, financial statements, and other relevant details.

Q: What happens after filing SEC Form 0486 (1-A)?
A: Once SEC Form 0486 (1-A) is filed, the company's offering statement will undergo a review process by the SEC. If approved, the company can proceed with the exempt offering.

Q: Are there any filing fees for SEC Form 0486 (1-A)?
A: Yes, there are filing fees associated with SEC Form 0486 (1-A). The amount of the fees depends on the size of the offering.

Q: Is SEC Form 0486 (1-A) required for all securities offerings?
A: No, SEC Form 0486 (1-A) is specifically used for exempt offerings under Regulation A of the Securities Act of 1933. Other types of offerings may require different forms.

ADVERTISEMENT

Form Details:

  • Released on March 1, 2021;
  • The latest available edition released by the U.S. Securities and Exchange Commission;
  • Easy to use and ready to print;
  • Yours to fill out and keep for your records;
  • Compatible with most PDF-viewing applications;
  • Fill out the form in our online filing application.

Download a printable version of SEC Form 0486 (1-A) by clicking the link below or browse more documents and templates provided by the U.S. Securities and Exchange Commission.

Download SEC Form 0486 (1-A) Regulation a Offering Statement Under the Securities Act of 1933

4.8 of 5 (13 votes)
  • SEC Form 0486 (1-A) Regulation a Offering Statement Under the Securities Act of 1933

    1

  • SEC Form 0486 (1-A) Regulation a Offering Statement Under the Securities Act of 1933, Page 2

    2

  • SEC Form 0486 (1-A) Regulation a Offering Statement Under the Securities Act of 1933, Page 3

    3

  • SEC Form 0486 (1-A) Regulation a Offering Statement Under the Securities Act of 1933, Page 4

    4

  • SEC Form 0486 (1-A) Regulation a Offering Statement Under the Securities Act of 1933, Page 5

    5

  • SEC Form 0486 (1-A) Regulation a Offering Statement Under the Securities Act of 1933, Page 6

    6

  • SEC Form 0486 (1-A) Regulation a Offering Statement Under the Securities Act of 1933, Page 7

    7

  • SEC Form 0486 (1-A) Regulation a Offering Statement Under the Securities Act of 1933, Page 8

    8

  • SEC Form 0486 (1-A) Regulation a Offering Statement Under the Securities Act of 1933, Page 9

    9

  • SEC Form 0486 (1-A) Regulation a Offering Statement Under the Securities Act of 1933, Page 10

    10

  • SEC Form 0486 (1-A) Regulation a Offering Statement Under the Securities Act of 1933, Page 11

    11

  • SEC Form 0486 (1-A) Regulation a Offering Statement Under the Securities Act of 1933, Page 12

    12

  • SEC Form 0486 (1-A) Regulation a Offering Statement Under the Securities Act of 1933, Page 13

    13

  • SEC Form 0486 (1-A) Regulation a Offering Statement Under the Securities Act of 1933, Page 14

    14

  • SEC Form 0486 (1-A) Regulation a Offering Statement Under the Securities Act of 1933, Page 15

    15

  • SEC Form 0486 (1-A) Regulation a Offering Statement Under the Securities Act of 1933, Page 16

    16

  • SEC Form 0486 (1-A) Regulation a Offering Statement Under the Securities Act of 1933, Page 17

    17

  • SEC Form 0486 (1-A) Regulation a Offering Statement Under the Securities Act of 1933, Page 18

    18

  • SEC Form 0486 (1-A) Regulation a Offering Statement Under the Securities Act of 1933, Page 19

    19

  • SEC Form 0486 (1-A) Regulation a Offering Statement Under the Securities Act of 1933, Page 20

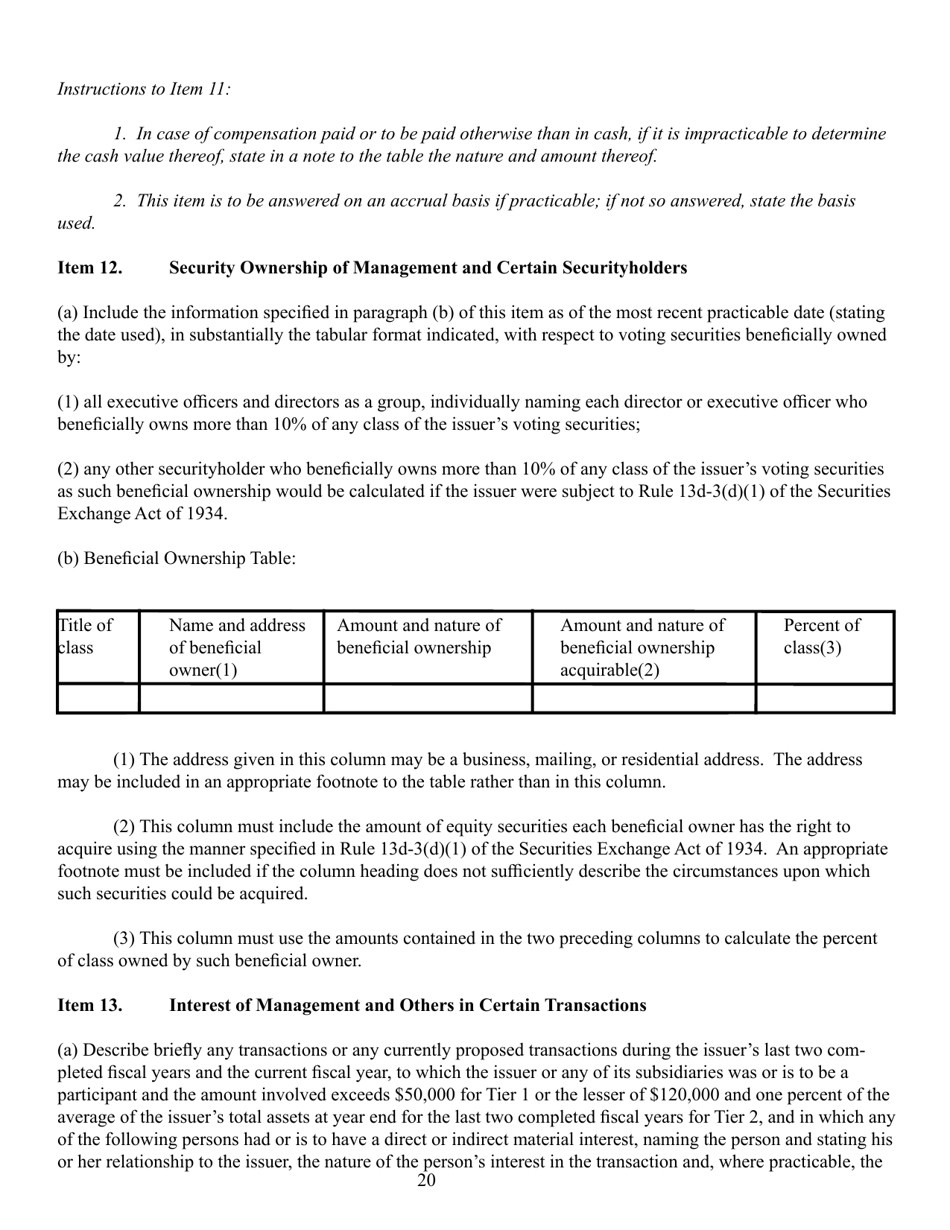
    20

  • SEC Form 0486 (1-A) Regulation a Offering Statement Under the Securities Act of 1933, Page 21

    21

  • SEC Form 0486 (1-A) Regulation a Offering Statement Under the Securities Act of 1933, Page 22

    22

  • SEC Form 0486 (1-A) Regulation a Offering Statement Under the Securities Act of 1933, Page 23

    23

  • SEC Form 0486 (1-A) Regulation a Offering Statement Under the Securities Act of 1933, Page 24

    24

  • SEC Form 0486 (1-A) Regulation a Offering Statement Under the Securities Act of 1933, Page 25

    25

  • SEC Form 0486 (1-A) Regulation a Offering Statement Under the Securities Act of 1933, Page 26

    26

  • SEC Form 0486 (1-A) Regulation a Offering Statement Under the Securities Act of 1933, Page 27

    27

  • SEC Form 0486 (1-A) Regulation a Offering Statement Under the Securities Act of 1933, Page 28

    28

  • SEC Form 0486 (1-A) Regulation a Offering Statement Under the Securities Act of 1933, Page 29

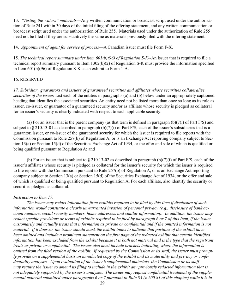
    29

  • SEC Form 0486 (1-A) Regulation a Offering Statement Under the Securities Act of 1933, Page 30

    30

  • SEC Form 0486 (1-A) Regulation a Offering Statement Under the Securities Act of 1933, Page 1
  • SEC Form 0486 (1-A) Regulation a Offering Statement Under the Securities Act of 1933, Page 2
  • SEC Form 0486 (1-A) Regulation a Offering Statement Under the Securities Act of 1933, Page 3
  • SEC Form 0486 (1-A) Regulation a Offering Statement Under the Securities Act of 1933, Page 4
  • SEC Form 0486 (1-A) Regulation a Offering Statement Under the Securities Act of 1933, Page 5
  • SEC Form 0486 (1-A) Regulation a Offering Statement Under the Securities Act of 1933, Page 6
  • SEC Form 0486 (1-A) Regulation a Offering Statement Under the Securities Act of 1933, Page 7
  • SEC Form 0486 (1-A) Regulation a Offering Statement Under the Securities Act of 1933, Page 8
  • SEC Form 0486 (1-A) Regulation a Offering Statement Under the Securities Act of 1933, Page 9
  • SEC Form 0486 (1-A) Regulation a Offering Statement Under the Securities Act of 1933, Page 10
  • SEC Form 0486 (1-A) Regulation a Offering Statement Under the Securities Act of 1933, Page 11
  • SEC Form 0486 (1-A) Regulation a Offering Statement Under the Securities Act of 1933, Page 12
  • SEC Form 0486 (1-A) Regulation a Offering Statement Under the Securities Act of 1933, Page 13
  • SEC Form 0486 (1-A) Regulation a Offering Statement Under the Securities Act of 1933, Page 14
  • SEC Form 0486 (1-A) Regulation a Offering Statement Under the Securities Act of 1933, Page 15
  • SEC Form 0486 (1-A) Regulation a Offering Statement Under the Securities Act of 1933, Page 16
  • SEC Form 0486 (1-A) Regulation a Offering Statement Under the Securities Act of 1933, Page 17
  • SEC Form 0486 (1-A) Regulation a Offering Statement Under the Securities Act of 1933, Page 18
  • SEC Form 0486 (1-A) Regulation a Offering Statement Under the Securities Act of 1933, Page 19
  • SEC Form 0486 (1-A) Regulation a Offering Statement Under the Securities Act of 1933, Page 20
  • SEC Form 0486 (1-A) Regulation a Offering Statement Under the Securities Act of 1933, Page 21
  • SEC Form 0486 (1-A) Regulation a Offering Statement Under the Securities Act of 1933, Page 22
  • SEC Form 0486 (1-A) Regulation a Offering Statement Under the Securities Act of 1933, Page 23
  • SEC Form 0486 (1-A) Regulation a Offering Statement Under the Securities Act of 1933, Page 24
  • SEC Form 0486 (1-A) Regulation a Offering Statement Under the Securities Act of 1933, Page 25
  • SEC Form 0486 (1-A) Regulation a Offering Statement Under the Securities Act of 1933, Page 26
  • SEC Form 0486 (1-A) Regulation a Offering Statement Under the Securities Act of 1933, Page 27
  • SEC Form 0486 (1-A) Regulation a Offering Statement Under the Securities Act of 1933, Page 28
  • SEC Form 0486 (1-A) Regulation a Offering Statement Under the Securities Act of 1933, Page 29
  • SEC Form 0486 (1-A) Regulation a Offering Statement Under the Securities Act of 1933, Page 30
Prev 1 2 3 4 5 ... 30 Next
ADVERTISEMENT

Related Documents