SEC Form 873 (8-K) Current Report Pursuant to Section 13 or 15(D) of the Securities Exchange Act of 1934

Notification Icon This version of the form is not currently in use and is provided for reference only. Download this version of SEC Form 873 (8-K) for the current year.

SEC Form 873 (8-K) Current Report Pursuant to Section 13 or 15(D) of the Securities Exchange Act of 1934

What Is SEC Form 873 (8-K)?

This is a legal form that was released by the U.S. Securities and Exchange Commission on February 1, 2021 and used country-wide. As of today, no separate filing guidelines for the form are provided by the issuing department.

FAQ

Q: What is SEC Form 873 (8-K)?
A: SEC Form 873 (8-K) is a current report required by the Securities Exchange Act of 1934.

Q: What is the purpose of SEC Form 873 (8-K)?
A: The purpose of SEC Form 873 (8-K) is to provide timely information about important events that are relevant to shareholders and potential investors.

Q: Which section of the Securities Exchange Act of 1934 requires SEC Form 873 (8-K)?
A: SEC Form 873 (8-K) is required by Section 13 or 15(D) of the Securities Exchange Act of 1934.

Q: What kind of information does SEC Form 873 (8-K) disclose?
A: SEC Form 873 (8-K) discloses material events such as earnings releases, changes in corporate governance, mergers or acquisitions, and other significant developments.

Q: Who is required to file SEC Form 873 (8-K)?
A: Publicly traded companies and certain individuals or entities that meet specified criteria are required to file SEC Form 873 (8-K).

Q: Is there a deadline for filing SEC Form 873 (8-K)?
A: Yes, there is a deadline for filing SEC Form 873 (8-K). It must be filed within four business days after the occurrence of the event being reported.

Q: What happens if a company fails to timely file SEC Form 873 (8-K)?
A: Failure to timely file SEC Form 873 (8-K) can result in penalties and legal consequences for the company and its responsible individuals.

ADVERTISEMENT

Form Details:

  • Released on February 1, 2021;
  • The latest available edition released by the U.S. Securities and Exchange Commission;
  • Easy to use and ready to print;
  • Yours to fill out and keep for your records;
  • Compatible with most PDF-viewing applications;
  • Fill out the form in our online filing application.

Download a printable version of SEC Form 873 (8-K) by clicking the link below or browse more documents and templates provided by the U.S. Securities and Exchange Commission.

Download SEC Form 873 (8-K) Current Report Pursuant to Section 13 or 15(D) of the Securities Exchange Act of 1934

4.3 of 5 (34 votes)
  • SEC Form 873 (8-K) Current Report Pursuant to Section 13 or 15(D) of the Securities Exchange Act of 1934

    1

  • SEC Form 873 (8-K) Current Report Pursuant to Section 13 or 15(D) of the Securities Exchange Act of 1934, Page 2

    2

  • SEC Form 873 (8-K) Current Report Pursuant to Section 13 or 15(D) of the Securities Exchange Act of 1934, Page 3

    3

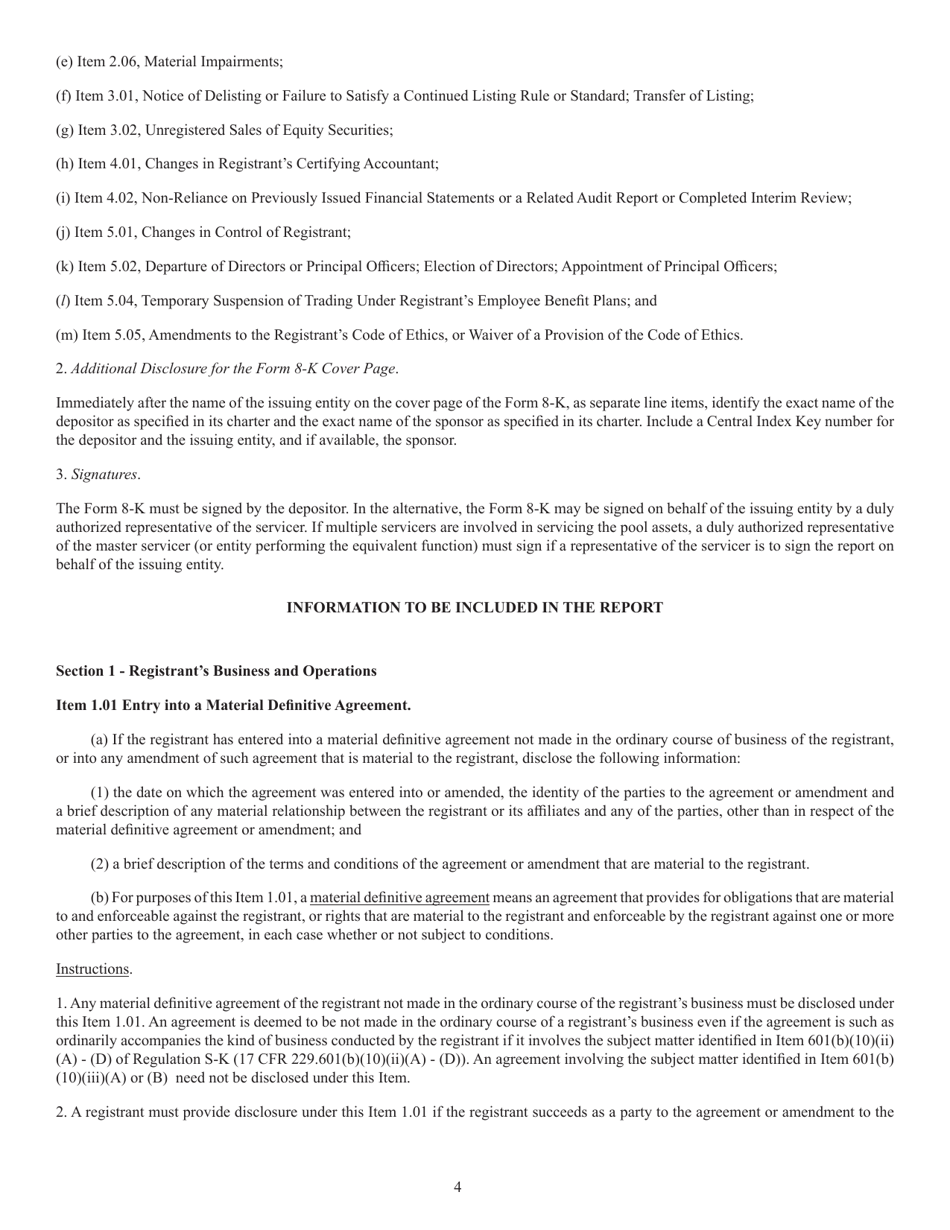
  • SEC Form 873 (8-K) Current Report Pursuant to Section 13 or 15(D) of the Securities Exchange Act of 1934, Page 4

    4

  • SEC Form 873 (8-K) Current Report Pursuant to Section 13 or 15(D) of the Securities Exchange Act of 1934, Page 5

    5

  • SEC Form 873 (8-K) Current Report Pursuant to Section 13 or 15(D) of the Securities Exchange Act of 1934, Page 6

    6

  • SEC Form 873 (8-K) Current Report Pursuant to Section 13 or 15(D) of the Securities Exchange Act of 1934, Page 7

    7

  • SEC Form 873 (8-K) Current Report Pursuant to Section 13 or 15(D) of the Securities Exchange Act of 1934, Page 8

    8

  • SEC Form 873 (8-K) Current Report Pursuant to Section 13 or 15(D) of the Securities Exchange Act of 1934, Page 9

    9

  • SEC Form 873 (8-K) Current Report Pursuant to Section 13 or 15(D) of the Securities Exchange Act of 1934, Page 10

    10

  • SEC Form 873 (8-K) Current Report Pursuant to Section 13 or 15(D) of the Securities Exchange Act of 1934, Page 11

    11

  • SEC Form 873 (8-K) Current Report Pursuant to Section 13 or 15(D) of the Securities Exchange Act of 1934, Page 12

    12

  • SEC Form 873 (8-K) Current Report Pursuant to Section 13 or 15(D) of the Securities Exchange Act of 1934, Page 13

    13

  • SEC Form 873 (8-K) Current Report Pursuant to Section 13 or 15(D) of the Securities Exchange Act of 1934, Page 14

    14

  • SEC Form 873 (8-K) Current Report Pursuant to Section 13 or 15(D) of the Securities Exchange Act of 1934, Page 15

    15

  • SEC Form 873 (8-K) Current Report Pursuant to Section 13 or 15(D) of the Securities Exchange Act of 1934, Page 16

    16

  • SEC Form 873 (8-K) Current Report Pursuant to Section 13 or 15(D) of the Securities Exchange Act of 1934, Page 17

    17

  • SEC Form 873 (8-K) Current Report Pursuant to Section 13 or 15(D) of the Securities Exchange Act of 1934, Page 18

    18

  • SEC Form 873 (8-K) Current Report Pursuant to Section 13 or 15(D) of the Securities Exchange Act of 1934, Page 19

    19

  • SEC Form 873 (8-K) Current Report Pursuant to Section 13 or 15(D) of the Securities Exchange Act of 1934, Page 20

    20

  • SEC Form 873 (8-K) Current Report Pursuant to Section 13 or 15(D) of the Securities Exchange Act of 1934, Page 21

    21

  • SEC Form 873 (8-K) Current Report Pursuant to Section 13 or 15(D) of the Securities Exchange Act of 1934, Page 22

    22

  • SEC Form 873 (8-K) Current Report Pursuant to Section 13 or 15(D) of the Securities Exchange Act of 1934, Page 23

    23

  • SEC Form 873 (8-K) Current Report Pursuant to Section 13 or 15(D) of the Securities Exchange Act of 1934, Page 24

    24

  • SEC Form 873 (8-K) Current Report Pursuant to Section 13 or 15(D) of the Securities Exchange Act of 1934, Page 1
  • SEC Form 873 (8-K) Current Report Pursuant to Section 13 or 15(D) of the Securities Exchange Act of 1934, Page 2
  • SEC Form 873 (8-K) Current Report Pursuant to Section 13 or 15(D) of the Securities Exchange Act of 1934, Page 3
  • SEC Form 873 (8-K) Current Report Pursuant to Section 13 or 15(D) of the Securities Exchange Act of 1934, Page 4
  • SEC Form 873 (8-K) Current Report Pursuant to Section 13 or 15(D) of the Securities Exchange Act of 1934, Page 5
  • SEC Form 873 (8-K) Current Report Pursuant to Section 13 or 15(D) of the Securities Exchange Act of 1934, Page 6
  • SEC Form 873 (8-K) Current Report Pursuant to Section 13 or 15(D) of the Securities Exchange Act of 1934, Page 7
  • SEC Form 873 (8-K) Current Report Pursuant to Section 13 or 15(D) of the Securities Exchange Act of 1934, Page 8
  • SEC Form 873 (8-K) Current Report Pursuant to Section 13 or 15(D) of the Securities Exchange Act of 1934, Page 9
  • SEC Form 873 (8-K) Current Report Pursuant to Section 13 or 15(D) of the Securities Exchange Act of 1934, Page 10
  • SEC Form 873 (8-K) Current Report Pursuant to Section 13 or 15(D) of the Securities Exchange Act of 1934, Page 11
  • SEC Form 873 (8-K) Current Report Pursuant to Section 13 or 15(D) of the Securities Exchange Act of 1934, Page 12
  • SEC Form 873 (8-K) Current Report Pursuant to Section 13 or 15(D) of the Securities Exchange Act of 1934, Page 13
  • SEC Form 873 (8-K) Current Report Pursuant to Section 13 or 15(D) of the Securities Exchange Act of 1934, Page 14
  • SEC Form 873 (8-K) Current Report Pursuant to Section 13 or 15(D) of the Securities Exchange Act of 1934, Page 15
  • SEC Form 873 (8-K) Current Report Pursuant to Section 13 or 15(D) of the Securities Exchange Act of 1934, Page 16
  • SEC Form 873 (8-K) Current Report Pursuant to Section 13 or 15(D) of the Securities Exchange Act of 1934, Page 17
  • SEC Form 873 (8-K) Current Report Pursuant to Section 13 or 15(D) of the Securities Exchange Act of 1934, Page 18
  • SEC Form 873 (8-K) Current Report Pursuant to Section 13 or 15(D) of the Securities Exchange Act of 1934, Page 19
  • SEC Form 873 (8-K) Current Report Pursuant to Section 13 or 15(D) of the Securities Exchange Act of 1934, Page 20
  • SEC Form 873 (8-K) Current Report Pursuant to Section 13 or 15(D) of the Securities Exchange Act of 1934, Page 21
  • SEC Form 873 (8-K) Current Report Pursuant to Section 13 or 15(D) of the Securities Exchange Act of 1934, Page 22
  • SEC Form 873 (8-K) Current Report Pursuant to Section 13 or 15(D) of the Securities Exchange Act of 1934, Page 23
  • SEC Form 873 (8-K) Current Report Pursuant to Section 13 or 15(D) of the Securities Exchange Act of 1934, Page 24
Prev 1 2 3 4 5 ... 24 Next
ADVERTISEMENT

Related Documents