SEC Form 1398 (S-8) Registration Statement Under the Securities Act of 1933

Notification Icon This version of the form is not currently in use and is provided for reference only. Download this version of SEC Form 1398 (S-8) for the current year.

SEC Form 1398 (S-8) Registration Statement Under the Securities Act of 1933

What Is SEC Form 1398 (S-8)?

This is a legal form that was released by the U.S. Securities and Exchange Commission on September 1, 2018 and used country-wide. As of today, no separate filing guidelines for the form are provided by the issuing department.

FAQ

Q: What is SEC Form 1398?
A: SEC Form 1398 is a registration statement under the Securities Act of 1933.

Q: What does the S-8 designation mean?
A: The S-8 designation indicates that the registration statement is related to employee benefit plans.

Q: What is the purpose of SEC Form 1398?
A: The purpose of SEC Form 1398 is to register securities that will be issued as part of employee benefit plans.

Q: Who is required to file SEC Form 1398?
A: Companies that are offering securities as part of employee benefit plans are required to file SEC Form 1398.

Q: Why is SEC Form 1398 important?
A: SEC Form 1398 is important because it provides transparency and regulatory oversight for securities issued as part of employee benefit plans.

Q: What information is included in SEC Form 1398?
A: SEC Form 1398 includes information about the company, the securities being registered, and details about the employee benefit plans.

Q: Are there any filing fees for SEC Form 1398?
A: Yes, there are filing fees associated with submitting SEC Form 1398.

ADVERTISEMENT

Form Details:

  • Released on September 1, 2018;
  • The latest available edition released by the U.S. Securities and Exchange Commission;
  • Easy to use and ready to print;
  • Yours to fill out and keep for your records;
  • Compatible with most PDF-viewing applications;
  • Fill out the form in our online filing application.

Download a printable version of SEC Form 1398 (S-8) by clicking the link below or browse more documents and templates provided by the U.S. Securities and Exchange Commission.

Download SEC Form 1398 (S-8) Registration Statement Under the Securities Act of 1933

4.7 of 5 (6 votes)
  • SEC Form 1398 (S-8) Registration Statement Under the Securities Act of 1933

    1

  • SEC Form 1398 (S-8) Registration Statement Under the Securities Act of 1933, Page 2

    2

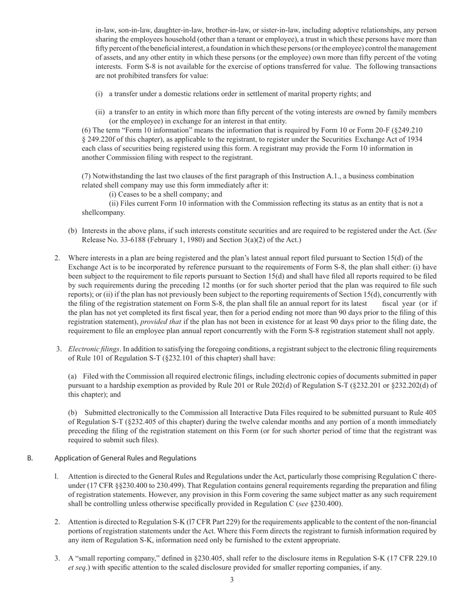
  • SEC Form 1398 (S-8) Registration Statement Under the Securities Act of 1933, Page 3

    3

  • SEC Form 1398 (S-8) Registration Statement Under the Securities Act of 1933, Page 4

    4

  • SEC Form 1398 (S-8) Registration Statement Under the Securities Act of 1933, Page 5

    5

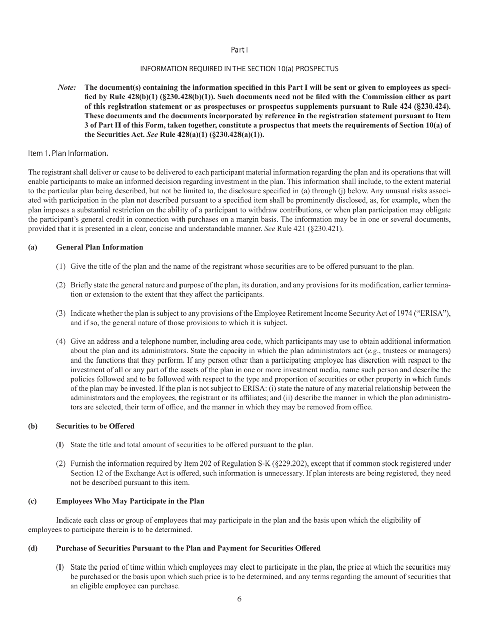
  • SEC Form 1398 (S-8) Registration Statement Under the Securities Act of 1933, Page 6

    6

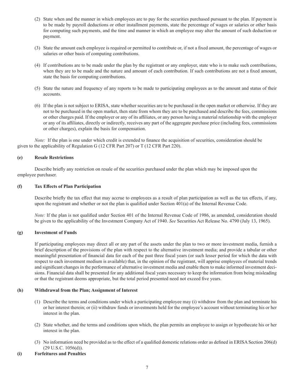
  • SEC Form 1398 (S-8) Registration Statement Under the Securities Act of 1933, Page 7

    7

  • SEC Form 1398 (S-8) Registration Statement Under the Securities Act of 1933, Page 8

    8

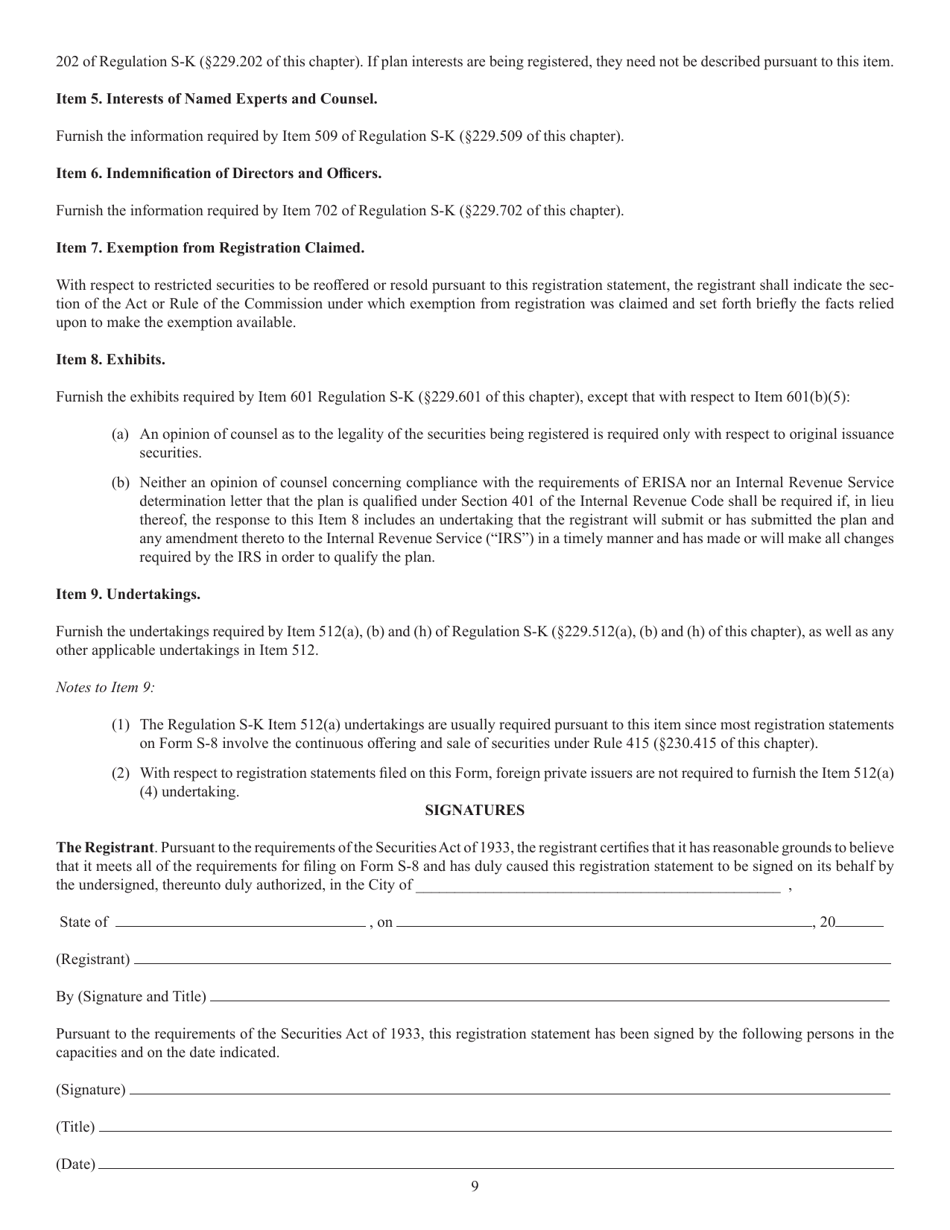
  • SEC Form 1398 (S-8) Registration Statement Under the Securities Act of 1933, Page 9

    9

  • SEC Form 1398 (S-8) Registration Statement Under the Securities Act of 1933, Page 10

    10

  • SEC Form 1398 (S-8) Registration Statement Under the Securities Act of 1933, Page 1
  • SEC Form 1398 (S-8) Registration Statement Under the Securities Act of 1933, Page 2
  • SEC Form 1398 (S-8) Registration Statement Under the Securities Act of 1933, Page 3
  • SEC Form 1398 (S-8) Registration Statement Under the Securities Act of 1933, Page 4
  • SEC Form 1398 (S-8) Registration Statement Under the Securities Act of 1933, Page 5
  • SEC Form 1398 (S-8) Registration Statement Under the Securities Act of 1933, Page 6
  • SEC Form 1398 (S-8) Registration Statement Under the Securities Act of 1933, Page 7
  • SEC Form 1398 (S-8) Registration Statement Under the Securities Act of 1933, Page 8
  • SEC Form 1398 (S-8) Registration Statement Under the Securities Act of 1933, Page 9
  • SEC Form 1398 (S-8) Registration Statement Under the Securities Act of 1933, Page 10
Prev 1 2 3 4 5 ... 10 Next
ADVERTISEMENT

Related Documents