SEC Form 2908 (SF-1) Registration Statement Under the Securities Act of 1933

Notification Icon This version of the form is not currently in use and is provided for reference only. Download this version of SEC Form 2908 (SF-1) for the current year.

SEC Form 2908 (SF-1) Registration Statement Under the Securities Act of 1933

What Is SEC Form 2908 (SF-1)?

This is a legal form that was released by the U.S. Securities and Exchange Commission on May 1, 2019 and used country-wide. As of today, no separate filing guidelines for the form are provided by the issuing department.

FAQ

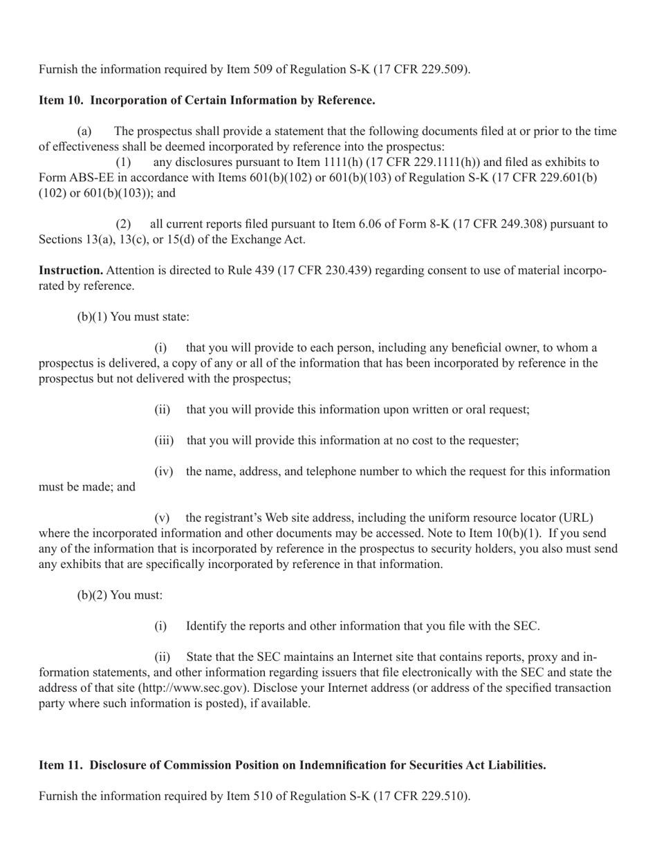
Q: What is SEC Form 2908?
A: SEC Form 2908, also known as SF-1, is a registration statement under the Securities Act of 1933.

Q: What is the Securities Act of 1933?
A: The Securities Act of 1933 is a federal law that regulates the offering and sale of securities to the public.

Q: Who is required to file SEC Form 2908?
A: Companies that want to offer and sell securities to the public are required to file SEC Form 2908.

Q: What information is included in SEC Form 2908?
A: SEC Form 2908 includes information about the company, the securities being offered, and other relevant details.

Q: Why is SEC Form 2908 important?
A: SEC Form 2908 helps ensure that companies provide accurate and complete information to investors before selling securities to the public.

Q: Are there any filing fees associated with SEC Form 2908?
A: Yes, there are filing fees associated with SEC Form 2908. The amount of the fees depends on the value of the securities being registered.

ADVERTISEMENT

Form Details:

  • Released on May 1, 2019;
  • The latest available edition released by the U.S. Securities and Exchange Commission;
  • Easy to use and ready to print;
  • Yours to fill out and keep for your records;
  • Compatible with most PDF-viewing applications;
  • Fill out the form in our online filing application.

Download a printable version of SEC Form 2908 (SF-1) by clicking the link below or browse more documents and templates provided by the U.S. Securities and Exchange Commission.

Download SEC Form 2908 (SF-1) Registration Statement Under the Securities Act of 1933

4.8 of 5 (10 votes)
  • SEC Form 2908 (SF-1) Registration Statement Under the Securities Act of 1933

    1

  • SEC Form 2908 (SF-1) Registration Statement Under the Securities Act of 1933, Page 2

    2

  • SEC Form 2908 (SF-1) Registration Statement Under the Securities Act of 1933, Page 3

    3

  • SEC Form 2908 (SF-1) Registration Statement Under the Securities Act of 1933, Page 4

    4

  • SEC Form 2908 (SF-1) Registration Statement Under the Securities Act of 1933, Page 5

    5

  • SEC Form 2908 (SF-1) Registration Statement Under the Securities Act of 1933, Page 6

    6

  • SEC Form 2908 (SF-1) Registration Statement Under the Securities Act of 1933, Page 7

    7

  • SEC Form 2908 (SF-1) Registration Statement Under the Securities Act of 1933, Page 1
  • SEC Form 2908 (SF-1) Registration Statement Under the Securities Act of 1933, Page 2
  • SEC Form 2908 (SF-1) Registration Statement Under the Securities Act of 1933, Page 3
  • SEC Form 2908 (SF-1) Registration Statement Under the Securities Act of 1933, Page 4
  • SEC Form 2908 (SF-1) Registration Statement Under the Securities Act of 1933, Page 5
  • SEC Form 2908 (SF-1) Registration Statement Under the Securities Act of 1933, Page 6
  • SEC Form 2908 (SF-1) Registration Statement Under the Securities Act of 1933, Page 7
Prev 1 2 3 4 5 ... 7 Next
ADVERTISEMENT

Related Documents