Form ED-100 Real Estate School Certification Approval Application - Arizona

Notification Icon This version of the form is not currently in use and is provided for reference only. Download this version of Form ED-100 for the current year.

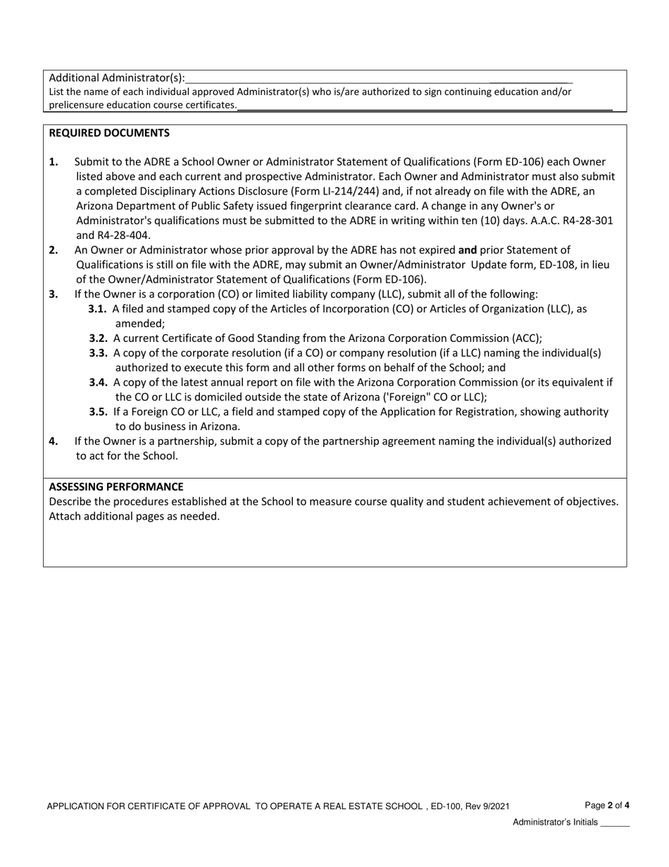
Form ED-100 Real Estate School Certification Approval Application - Arizona

What Is Form ED-100?

This is a legal form that was released by the Arizona Department of Real Estate - a government authority operating within Arizona. As of today, no separate filing guidelines for the form are provided by the issuing department.

FAQ

Q: What is Form ED-100?
A: Form ED-100 is the Real Estate School Certification Approval Application for Arizona.

Q: What is the purpose of Form ED-100?
A: The purpose of Form ED-100 is to apply for certification approval for a real estate school in Arizona.

Q: Who needs to fill out Form ED-100?
A: Real estate schools in Arizona who wish to obtain certification approval need to fill out Form ED-100.

Q: Are there any fees associated with Form ED-100?
A: Yes, there are fees associated with submitting Form ED-100. Details about the fees can be found on the form itself.

Q: What documents need to be submitted along with Form ED-100?
A: The specific documents required may vary, but typically, you will need to submit proof of compliance with Arizona real estate statutes and regulations, as well as detailed course curriculum.

Q: How long does it take to process Form ED-100?
A: The processing time for Form ED-100 can vary, but it usually takes several weeks to complete the review and approval process.

Q: Are there any specific requirements for real estate schools in Arizona?
A: Yes, Arizona has specific requirements for real estate schools, such as having a designated school manager and meeting certain educational standards.

Q: Can an individual apply for certification as a real estate school?
A: No, only entities can apply for certification as a real estate school in Arizona.

ADVERTISEMENT

Form Details:

  • Released on September 1, 2021;
  • The latest edition provided by the Arizona Department of Real Estate;
  • Easy to use and ready to print;
  • Quick to customize;
  • Compatible with most PDF-viewing applications;
  • Fill out the form in our online filing application.

Download a fillable version of Form ED-100 by clicking the link below or browse more documents and templates provided by the Arizona Department of Real Estate.

Download Form ED-100 Real Estate School Certification Approval Application - Arizona

4.5 of 5 (24 votes)
  • Form ED-100 Real Estate School Certification Approval Application - Arizona

    1

  • Form ED-100 Real Estate School Certification Approval Application - Arizona, Page 2

    2

  • Form ED-100 Real Estate School Certification Approval Application - Arizona, Page 3

    3

  • Form ED-100 Real Estate School Certification Approval Application - Arizona, Page 4

    4

  • Form ED-100 Real Estate School Certification Approval Application - Arizona, Page 5

    5

  • Form ED-100 Real Estate School Certification Approval Application - Arizona, Page 1
  • Form ED-100 Real Estate School Certification Approval Application - Arizona, Page 2
  • Form ED-100 Real Estate School Certification Approval Application - Arizona, Page 3
  • Form ED-100 Real Estate School Certification Approval Application - Arizona, Page 4
  • Form ED-100 Real Estate School Certification Approval Application - Arizona, Page 5
Prev 1 2 3 4 5 Next
ADVERTISEMENT